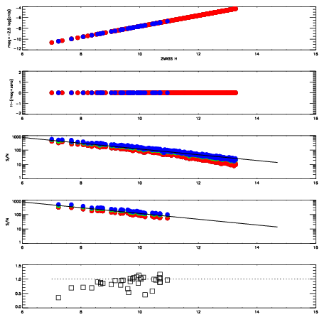
Left plots: red are targets, blue are telluric. Observed mags are calculated from median value of green chip. Zeropoint gives overall throughput: bigger number is more throughput.
First spatial plots: circles are objects, squares are tellurics, crosses are sky fibers. Colors give deviation of observed mag from expected 2MASS mag using the median zeropoint; red is brighter
Second spatial plots: circles are sky fibers. Colors give sky line brightness relative to plate median sky line brightness
FrameNreadsZeropointsMag plots Spatial mag deviation Spatial sky 16325A emission deviations (filled: sky, open: star) Spatial sky continuum emission Spatial sky telluric CO2 absorption deviations (filled: H < 10)
0 0
RedGreenBlue
z17.64
znorm Inf
sky -Inf -NaN -Inf
S/N 23.3 41.1 44.3
S/N(c) 0.0 0.0 0.0
SN(E/C) 0.91

IPAIRNAMESHIFTNEWSHIFTS/N NAMESHIFTNEWSHIFTS/N
0 05490054 0.484938 0.00000 18.8887 05490052 -0.00103557 0.485974 18.8528
1 05490049 0.481335 0.00360298 18.9802 05490048 0.00000 0.484938 18.9906
2 05490050 0.482427 0.00251099 18.9645 05490055 2.29462e-05 0.484915 18.9254
3 05490053 0.484722 0.000216007 18.9033 05490051 -0.000768093 0.485706 18.9000