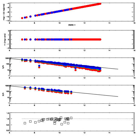
Left plots: red are targets, blue are telluric. Observed mags are calculated from median value of green chip. Zeropoint gives overall throughput: bigger number is more throughput.
First spatial plots: circles are objects, squares are tellurics, crosses are sky fibers. Colors give deviation of observed mag from expected 2MASS mag using the median zeropoint; red is brighter
Second spatial plots: circles are sky fibers. Colors give sky line brightness relative to plate median sky line brightness
FrameNreadsZeropointsMag plots Spatial mag deviation Spatial sky 16325A emission deviations (filled: sky, open: star) Spatial sky continuum emission Spatial sky telluric CO2 absorption deviations (filled: H < 10)
0 0
RedGreenBlue
z17.64
znorm Inf
sky -Inf -Inf -Inf
S/N 20.9 37.3 39.4
S/N(c) 0.0 0.0 0.0
SN(E/C) 0.94

IPAIRNAMESHIFTNEWSHIFTS/N NAMESHIFTNEWSHIFTS/N
0 06640012 0.484943 0.00000 17.9907 06640013 0.00234319 0.482600 18.2864
1 06640016 0.482419 0.00252399 18.9633 06640017 -0.00143613 0.486379 19.0389
2 06640015 0.481957 0.00298601 18.7664 06640014 -1.50290e-05 0.484958 18.6827
3 06640011 0.484430 0.000513017 18.1103 06640010 0.00000 0.484943 18.3191