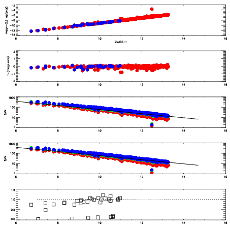
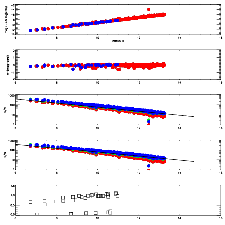
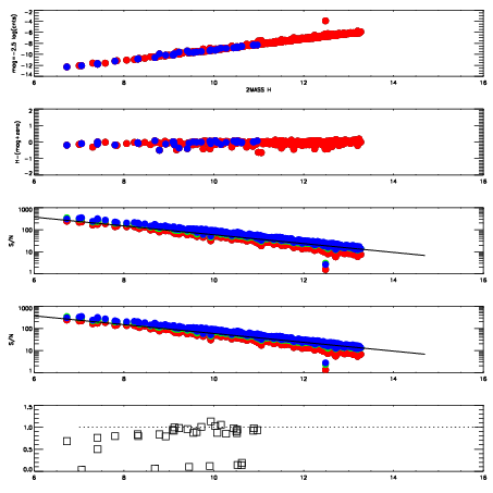
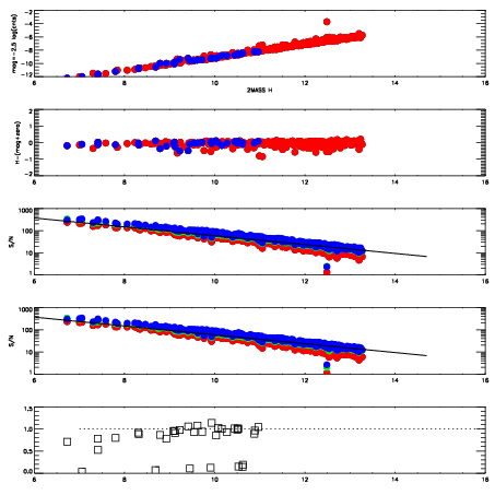
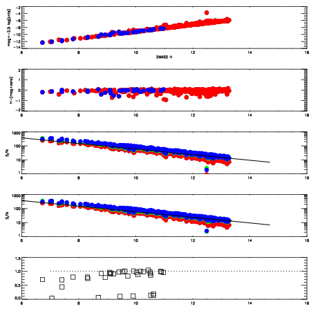
Frame | Nreads | Zeropoints | Mag plots
| Spatial mag deviation
| Spatial sky 16325A emission deviations (filled: sky, open: star)
| Spatial sky continuum emission
| Spatial sky telluric CO2 absorption deviations (filled: H < 10)
|
5200069
| 47
| | Red | Green | Blue
| z | | 19.17
| znorm | | 14.99
| sky | 14.5 | 14.3 | 14.1
| S/N | 16.0 | 25.1 | 25.0
| S/N(c) | 13.5 | 20.5 | 13.7
| SN(E/C) | 0.89
|
|
|
|
|
|
|
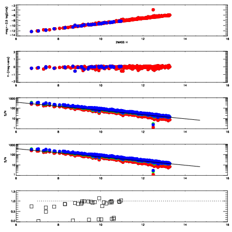
5200070
| 47
| | Red | Green | Blue
| z | | 19.13
| znorm | | 14.95
| sky | 14.6 | 14.4 | 14.4
| S/N | 15.6 | 24.6 | 25.5
| S/N(c) | 12.9 | 19.9 | 13.5
| SN(E/C) | 0.91
|
|
|
|
|
|
|
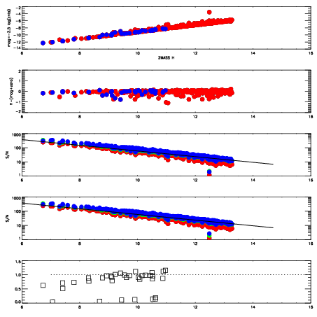
5200071
| 47
| | Red | Green | Blue
| z | | 19.17
| znorm | | 14.99
| sky | 14.6 | 14.5 | 14.5
| S/N | 15.9 | 25.5 | 26.7
| S/N(c) | 13.2 | 20.2 | 14.0
| SN(E/C) | 0.89
|
|
|
|
|
|
|
5200072
| 47
| | Red | Green | Blue
| z | | 19.21
| znorm | | 15.03
| sky | 14.8 | 14.6 | 14.5
| S/N | 16.6 | 26.1 | 26.8
| S/N(c) | 13.4 | 20.8 | 14.2
| SN(E/C) | 0.90
|
|
|
|
|
|
|
5200073
| 47
| | Red | Green | Blue
| z | | 19.20
| znorm | | 15.02
| sky | 14.6 | 14.4 | 14.6
| S/N | 16.6 | 26.3 | 26.8
| S/N(c) | 13.5 | 20.8 | 14.2
| SN(E/C) | 0.86
|
|
|
|
|
|
|
5200074
| 47
| | Red | Green | Blue
| z | | 19.19
| znorm | | 15.01
| sky | 14.7 | 14.6 | 14.6
| S/N | 15.9 | 25.8 | 27.4
| S/N(c) | 13.4 | 20.2 | 14.2
| SN(E/C) | 0.87
|
|
|
|
|
|
|
5200075
| 47
| | Red | Green | Blue
| z | | 19.21
| znorm | | 15.03
| sky | 14.5 | 14.6 | 14.6
| S/N | 16.6 | 26.6 | 28.3
| S/N(c) | 13.5 | 20.6 | 14.6
| SN(E/C) | 0.90
|
|
|
|
|
|
|
5200076
| 47
| | Red | Green | Blue
| z | | 19.21
| znorm | | 15.03
| sky | 14.6 | 14.6 | 14.7
| S/N | 16.5 | 26.3 | 29.0
| S/N(c) | 13.3 | 20.7 | 14.6
| SN(E/C) | 0.89
|
|
|
|
|
|
|