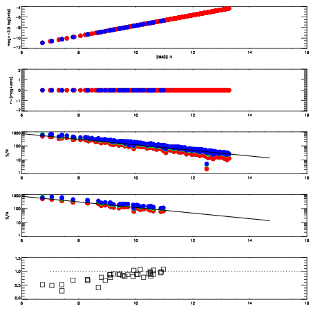
Left plots: red are targets, blue are telluric. Observed mags are calculated from median value of green chip. Zeropoint gives overall throughput: bigger number is more throughput.
First spatial plots: circles are objects, squares are tellurics, crosses are sky fibers. Colors give deviation of observed mag from expected 2MASS mag using the median zeropoint; red is brighter
Second spatial plots: circles are sky fibers. Colors give sky line brightness relative to plate median sky line brightness
FrameNreadsZeropointsMag plots Spatial mag deviation Spatial sky 16325A emission deviations (filled: sky, open: star) Spatial sky continuum emission Spatial sky telluric CO2 absorption deviations (filled: H < 10)
0 0
RedGreenBlue
z17.64
znorm Inf
sky -NaN -Inf -Inf
S/N 29.3 48.0 51.3
S/N(c) 0.0 0.0 0.0
SN(E/C) 0.87

IPAIRNAMESHIFTNEWSHIFTS/N NAMESHIFTNEWSHIFTS/N
0 05200075 0.494357 0.00000 19.1979 05200072 0.00132265 0.493034 19.2016
1 05200074 0.493476 0.000880986 19.1821 05200073 -0.000980535 0.495338 19.1968
2 05200071 0.489336 0.00502098 19.1602 05200076 -0.000498969 0.494856 19.1877
3 05200070 0.487900 0.00645700 19.1183 05200069 0.00000 0.494357 19.1683