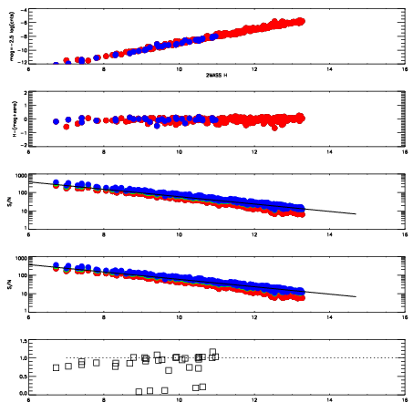
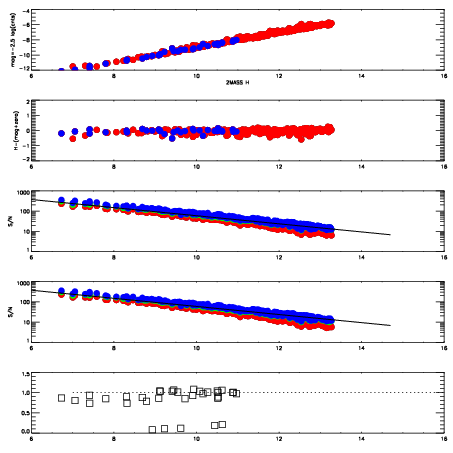
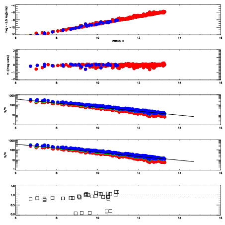
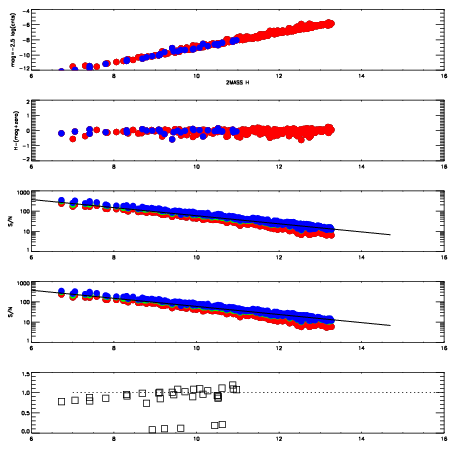
Left plots: red are targets, blue are telluric. Observed mags are calculated from median value of green chip. Zeropoint gives overall throughput: bigger number is more throughput.
First spatial plots: circles are objects, squares are tellurics, crosses are sky fibers. Colors give deviation of observed mag from expected 2MASS mag using the median zeropoint; red is brighter
Second spatial plots: circles are sky fibers. Colors give sky line brightness relative to plate median sky line brightness
FrameNreadsZeropointsMag plots Spatial mag deviation Spatial sky 16325A emission deviations (filled: sky, open: star) Spatial sky continuum emission Spatial sky telluric CO2 absorption deviations (filled: H < 10)
5290010 47
RedGreenBlue
z19.03
znorm14.85
sky 14.4 14.5 14.4
S/N 15.3 25.3 25.1
S/N(c) 32.9 37.0 29.6
SN(E/C) 0.93
5290011 47
RedGreenBlue
z19.05
znorm14.87
sky 14.5 14.6 14.7
S/N 15.0 25.1 25.2
S/N(c) 32.7 37.1 30.0
SN(E/C) 0.93
5290012 47
RedGreenBlue
z19.12
znorm14.94
sky 14.5 14.4 14.6
S/N 15.6 25.8 26.6
S/N(c) 33.9 38.1 30.8
SN(E/C) 0.91
5290013 47
RedGreenBlue
z19.08
znorm14.90
sky 14.5 14.6 14.6
S/N 15.2 25.1 26.0
S/N(c) 33.2 37.3 30.1
SN(E/C) 0.93