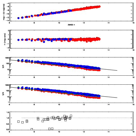
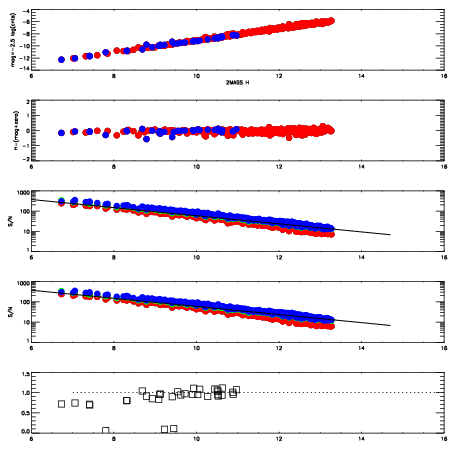
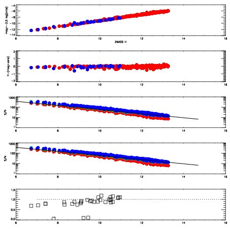
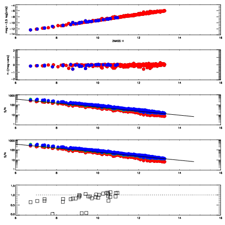
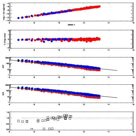
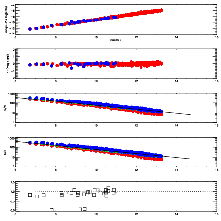
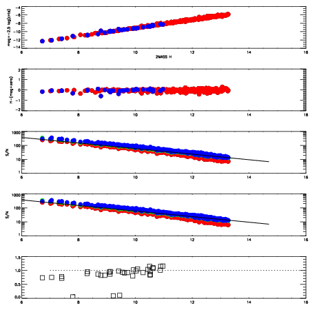
Frame | Nreads | Zeropoints | Mag plots
| Spatial mag deviation
| Spatial sky 16325A emission deviations (filled: sky, open: star)
| Spatial sky continuum emission
| Spatial sky telluric CO2 absorption deviations (filled: H < 10)
|
5220063
| 47
| | Red | Green | Blue
| z | | 19.18
| znorm | | 15.00
| sky | 14.5 | 14.3 | 14.3
| S/N | 15.6 | 25.3 | 25.6
| S/N(c) | 27.1 | 7.6 | 17.1
| SN(E/C) | 0.92
|
|
|
|
|
|
|
5220064
| 47
| | Red | Green | Blue
| z | | 19.15
| znorm | | 14.97
| sky | 14.4 | 14.3 | 14.4
| S/N | 15.4 | 25.0 | 26.0
| S/N(c) | 26.2 | 7.5 | 17.1
| SN(E/C) | 0.95
|
|
|
|
|
|
|
5220065
| 47
| | Red | Green | Blue
| z | | 19.15
| znorm | | 14.97
| sky | 14.3 | 14.3 | 14.4
| S/N | 15.2 | 24.8 | 25.9
| S/N(c) | 26.3 | 7.6 | 17.0
| SN(E/C) | 0.93
|
|
|
|
|
|
|
5220066
| 47
| | Red | Green | Blue
| z | | 19.18
| znorm | | 15.00
| sky | 14.4 | 14.3 | 14.3
| S/N | 15.6 | 25.5 | 27.0
| S/N(c) | 26.5 | 7.6 | 17.1
| SN(E/C) | 0.91
|
|
|
|
|
|
|
5220067
| 47
| | Red | Green | Blue
| z | | 19.21
| znorm | | 15.03
| sky | 14.4 | 14.3 | 14.4
| S/N | 16.0 | 26.1 | 27.7
| S/N(c) | 27.0 | 7.8 | 17.1
| SN(E/C) | 0.95
|
|
|
|
|
|
|
5220068
| 47
| | Red | Green | Blue
| z | | 19.21
| znorm | | 15.03
| sky | 14.4 | 14.4 | 14.3
| S/N | 15.9 | 26.0 | 27.5
| S/N(c) | 27.0 | 7.8 | 17.2
| SN(E/C) | 0.88
|
|
|
|
|
|
|
5220069
| 47
| | Red | Green | Blue
| z | | 19.25
| znorm | | 15.07
| sky | 14.3 | 14.4 | 14.2
| S/N | 16.5 | 26.7 | 28.3
| S/N(c) | 27.2 | 7.9 | 17.2
| SN(E/C) | 0.90
|
|
|
|
|
|
|
5220070
| 47
| | Red | Green | Blue
| z | | 19.24
| znorm | | 15.06
| sky | 14.4 | 14.2 | 14.2
| S/N | 16.4 | 26.7 | 28.0
| S/N(c) | 27.5 | 7.9 | 17.5
| SN(E/C) | 0.94
|
|
|
|
|
|
|