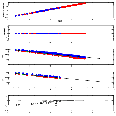
Left plots: red are targets, blue are telluric. Observed mags are calculated from median value of green chip. Zeropoint gives overall throughput: bigger number is more throughput.
First spatial plots: circles are objects, squares are tellurics, crosses are sky fibers. Colors give deviation of observed mag from expected 2MASS mag using the median zeropoint; red is brighter
Second spatial plots: circles are sky fibers. Colors give sky line brightness relative to plate median sky line brightness
FrameNreadsZeropointsMag plots Spatial mag deviation Spatial sky 16325A emission deviations (filled: sky, open: star) Spatial sky continuum emission Spatial sky telluric CO2 absorption deviations (filled: H < 10)
0 0
RedGreenBlue
z17.64
znorm Inf
sky -Inf -Inf -Inf
S/N 28.0 47.5 51.0
S/N(c) 0.0 0.0 0.0
SN(E/C) 0.79

IPAIRNAMESHIFTNEWSHIFTS/N NAMESHIFTNEWSHIFTS/N
0 05220069 0.498107 0.00000 19.2397 05220070 0.00233325 0.495774 19.2298
1 05220068 0.497416 0.000690997 19.1991 05220067 0.000652497 0.497454 19.2081
2 05220064 0.495266 0.00284100 19.1487 05220066 0.00258973 0.495517 19.1749
3 05220065 0.495514 0.00259298 19.1280 05220063 0.00000 0.498107 19.1727