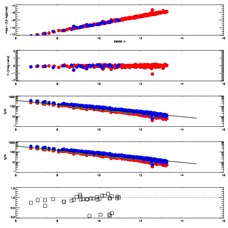
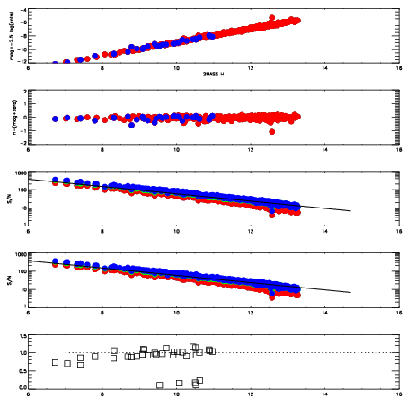
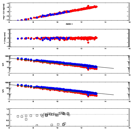
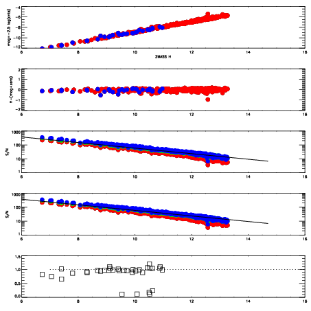
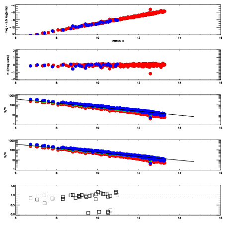
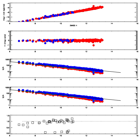
Frame | Nreads | Zeropoints | Mag plots
| Spatial mag deviation
| Spatial sky 16325A emission deviations (filled: sky, open: star)
| Spatial sky continuum emission
| Spatial sky telluric CO2 absorption deviations (filled: H < 10)
|
5260039
| 47
| | Red | Green | Blue
| z | | 18.99
| znorm | | 14.81
| sky | 14.7 | 14.4 | 14.4
| S/N | 14.3 | 23.4 | 25.4
| S/N(c) | 19.2 | 4.3 | 21.4
| SN(E/C) | 0.96
|
|
|
|
|
|
|
5260040
| 47
| | Red | Green | Blue
| z | | 19.01
| znorm | | 14.83
| sky | 14.6 | 14.5 | 14.9
| S/N | 14.3 | 23.5 | 26.0
| S/N(c) | 19.4 | 4.4 | 21.4
| SN(E/C) | 0.94
|
|
|
|
|
|
|
5260041
| 47
| | Red | Green | Blue
| z | | 19.02
| znorm | | 14.84
| sky | 14.6 | 14.5 | 14.8
| S/N | 14.4 | 23.6 | 26.2
| S/N(c) | 19.6 | 4.4 | 21.6
| SN(E/C) | 0.93
|
|
|
|
|
|
|
5260042
| 47
| | Red | Green | Blue
| z | | 18.99
| znorm | | 14.81
| sky | 14.8 | 14.5 | 14.8
| S/N | 14.1 | 23.5 | 25.8
| S/N(c) | 19.0 | 4.3 | 21.3
| SN(E/C) | 0.93
|
|
|
|
|
|
|
5260043
| 47
| | Red | Green | Blue
| z | | 18.94
| znorm | | 14.76
| sky | 14.5 | 14.5 | 14.7
| S/N | 14.0 | 23.4 | 24.6
| S/N(c) | 19.0 | 4.2 | 20.8
| SN(E/C) | 0.96
|
|
|
|
|
|
|
5260044
| 47
| | Red | Green | Blue
| z | | 19.00
| znorm | | 14.82
| sky | 14.6 | 14.6 | 14.8
| S/N | 14.2 | 24.0 | 25.9
| S/N(c) | 19.3 | 4.3 | 21.5
| SN(E/C) | 0.94
|
|
|
|
|
|
|
5260045
| 47
| | Red | Green | Blue
| z | | 18.95
| znorm | | 14.77
| sky | 14.8 | 14.6 | 14.7
| S/N | 14.1 | 23.4 | 24.9
| S/N(c) | 18.7 | 4.3 | 20.9
| SN(E/C) | 0.93
|
|
|
|
|
|
|
5260046
| 47
| | Red | Green | Blue
| z | | 18.93
| znorm | | 14.75
| sky | 14.5 | 14.8 | 14.8
| S/N | 13.6 | 23.1 | 24.5
| S/N(c) | 18.7 | 4.2 | 20.8
| SN(E/C) | 0.96
|
|
|
|
|
|
|