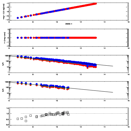
Left plots: red are targets, blue are telluric. Observed mags are calculated from median value of green chip. Zeropoint gives overall throughput: bigger number is more throughput.
First spatial plots: circles are objects, squares are tellurics, crosses are sky fibers. Colors give deviation of observed mag from expected 2MASS mag using the median zeropoint; red is brighter
Second spatial plots: circles are sky fibers. Colors give sky line brightness relative to plate median sky line brightness
FrameNreadsZeropointsMag plots Spatial mag deviation Spatial sky 16325A emission deviations (filled: sky, open: star) Spatial sky continuum emission Spatial sky telluric CO2 absorption deviations (filled: H < 10)
0 0
RedGreenBlue
z17.64
znorm Inf
sky -Inf -Inf -NaN
S/N 24.6 43.0 47.4
S/N(c) 0.0 0.0 0.0
SN(E/C) 0.92

IPAIRNAMESHIFTNEWSHIFTS/N NAMESHIFTNEWSHIFTS/N
0 05260041 0.488111 0.00000 19.0075 05260039 0.00000 0.488111 18.9796
1 05260040 0.487882 0.000229001 18.9941 05260042 -0.00171051 0.489821 18.9766
2 05260044 0.482412 0.00569898 18.9905 05260043 -0.00299720 0.491108 18.9291
3 05260045 0.483495 0.00461599 18.9345 05260046 -0.00398914 0.492100 18.9050