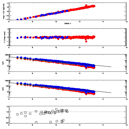
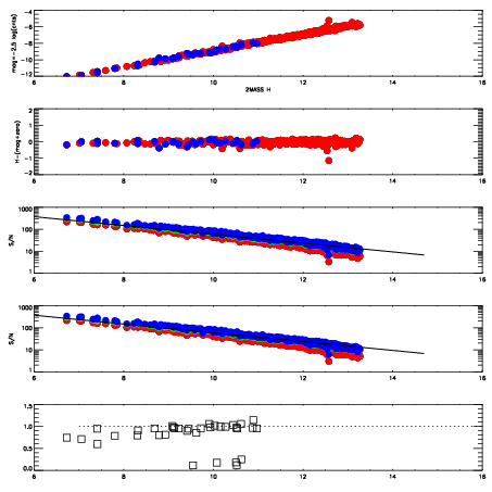
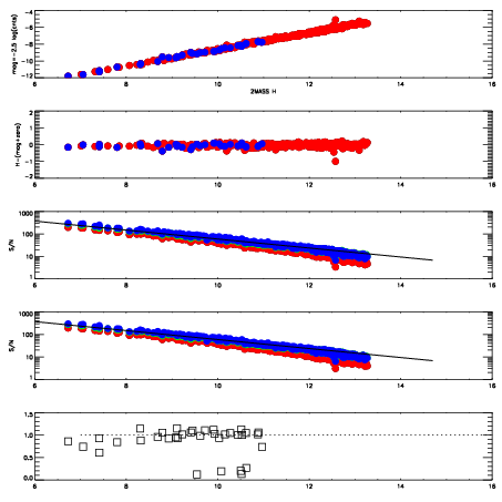
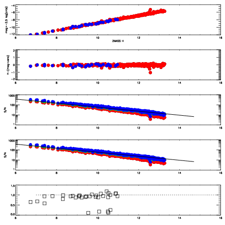
Left plots: red are targets, blue are telluric. Observed mags are calculated from median value of green chip. Zeropoint gives overall throughput: bigger number is more throughput.
First spatial plots: circles are objects, squares are tellurics, crosses are sky fibers. Colors give deviation of observed mag from expected 2MASS mag using the median zeropoint; red is brighter
Second spatial plots: circles are sky fibers. Colors give sky line brightness relative to plate median sky line brightness
FrameNreadsZeropointsMag plots Spatial mag deviation Spatial sky 16325A emission deviations (filled: sky, open: star) Spatial sky continuum emission Spatial sky telluric CO2 absorption deviations (filled: H < 10)
5300020 47
RedGreenBlue
z18.69
znorm14.51
sky 14.6 14.6 14.5
S/N 12.1 21.0 22.0
S/N(c) 16.7 3.8 18.7
SN(E/C) 0.98
5300021 47
RedGreenBlue
z18.77
znorm14.59
sky 14.7 14.9 15.0
S/N 12.9 22.1 23.1
S/N(c) 17.4 3.9 19.3
SN(E/C) 0.94
5300022 47
RedGreenBlue
z18.91
znorm14.73
sky 14.8 14.8 15.0
S/N 14.2 23.8 25.1
S/N(c) 18.8 4.1 20.7
SN(E/C) 0.93
5300023 47
RedGreenBlue
z18.95
znorm14.77
sky 14.4 14.6 14.8
S/N 14.4 24.1 25.6
S/N(c) 19.4 4.2 21.1
SN(E/C) 0.95