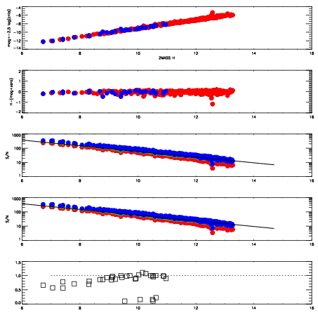
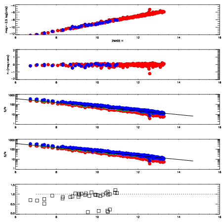
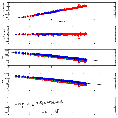
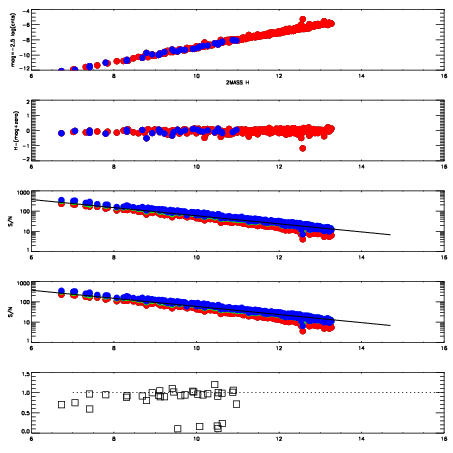
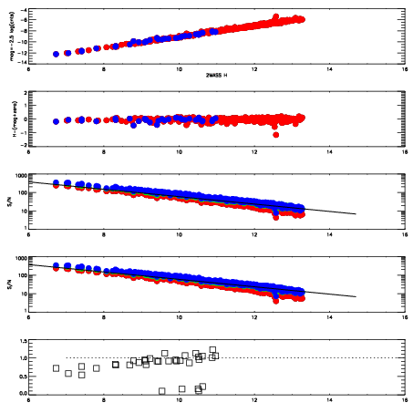
Left plots: red are targets, blue are telluric. Observed mags are calculated from median value of green chip. Zeropoint gives overall throughput: bigger number is more throughput.
First spatial plots: circles are objects, squares are tellurics, crosses are sky fibers. Colors give deviation of observed mag from expected 2MASS mag using the median zeropoint; red is brighter
Second spatial plots: circles are sky fibers. Colors give sky line brightness relative to plate median sky line brightness
FrameNreadsZeropointsMag plots Spatial mag deviation Spatial sky 16325A emission deviations (filled: sky, open: star) Spatial sky continuum emission Spatial sky telluric CO2 absorption deviations (filled: H < 10)
5310010 47
RedGreenBlue
z19.02
znorm14.84
sky 14.8 14.7 14.6
S/N 15.4 24.9 26.9
S/N(c) 20.1 4.4 21.7
SN(E/C) 0.93
5310011 47
RedGreenBlue
z19.01
znorm14.83
sky 14.7 14.9 15.2
S/N 15.0 24.8 26.7
S/N(c) 20.0 4.4 21.7
SN(E/C) 0.96
5310012 47
RedGreenBlue
z19.07
znorm14.89
sky 14.6 15.0 15.2
S/N 15.5 25.7 27.4
S/N(c) 20.8 4.5 22.3
SN(E/C) 0.95
5310013 47
RedGreenBlue
z19.07
znorm14.89
sky 14.7 15.0 15.1
S/N 15.6 25.5 27.7
S/N(c) 20.8 4.6 22.6
SN(E/C) 0.93
5310014 47
RedGreenBlue
z19.14
znorm14.96
sky 14.9 14.9 15.2
S/N 15.8 26.2 28.5
S/N(c) 21.6 4.7 23.2
SN(E/C) 0.91
5310015 47
RedGreenBlue
z19.14
znorm14.96
sky 14.9 15.0 15.0
S/N 15.8 26.3 28.2
S/N(c) 21.6 4.7 23.2
SN(E/C) 0.90