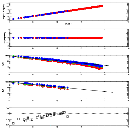
Left plots: red are targets, blue are telluric. Observed mags are calculated from median value of green chip. Zeropoint gives overall throughput: bigger number is more throughput.
First spatial plots: circles are objects, squares are tellurics, crosses are sky fibers. Colors give deviation of observed mag from expected 2MASS mag using the median zeropoint; red is brighter
Second spatial plots: circles are sky fibers. Colors give sky line brightness relative to plate median sky line brightness
FrameNreadsZeropointsMag plots Spatial mag deviation Spatial sky 16325A emission deviations (filled: sky, open: star) Spatial sky continuum emission Spatial sky telluric CO2 absorption deviations (filled: H < 10)
0 0
RedGreenBlue
z17.64
znorm Inf
sky -NaN -NaN -Inf
S/N 24.7 43.6 45.4
S/N(c) 0.0 0.0 0.0
SN(E/C) 0.84

IPAIRNAMESHIFTNEWSHIFTS/N NAMESHIFTNEWSHIFTS/N
0 05480075 0.490038 0.00000 18.9668 05480076 0.00228818 0.487750 18.9710
1 05480074 0.488806 0.00123200 18.9311 05480073 -3.67108e-05 0.490075 18.9520
2 05480070 0.486407 0.00363100 18.8843 05480069 0.00000 0.490038 18.8672
3 05480071 0.487132 0.00290599 18.8710 05480072 0.000281362 0.489757 18.8454