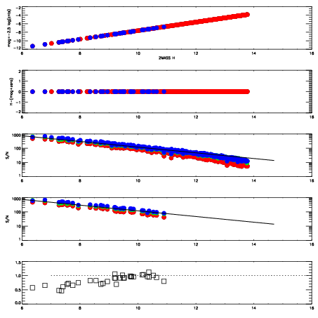
Left plots: red are targets, blue are telluric. Observed mags are calculated from median value of green chip. Zeropoint gives overall throughput: bigger number is more throughput.
First spatial plots: circles are objects, squares are tellurics, crosses are sky fibers. Colors give deviation of observed mag from expected 2MASS mag using the median zeropoint; red is brighter
Second spatial plots: circles are sky fibers. Colors give sky line brightness relative to plate median sky line brightness
FrameNreadsZeropointsMag plots Spatial mag deviation Spatial sky 16325A emission deviations (filled: sky, open: star) Spatial sky continuum emission Spatial sky telluric CO2 absorption deviations (filled: H < 10)
0 0
RedGreenBlue
z17.64
znorm Inf
sky -NaN -Inf -Inf
S/N 22.8 41.8 40.9
S/N(c) 0.0 0.0 0.0
SN(E/C) 0.91

IPAIRNAMESHIFTNEWSHIFTS/N NAMESHIFTNEWSHIFTS/N
0 06080042 0.485013 0.00000 18.7984 06080039 0.000807853 0.484205 18.8519
1 06080041 0.484369 0.000643998 18.7967 06080036 0.00000 0.485013 18.8354
2 06080037 0.483253 0.00176001 18.7762 06080040 -0.000174312 0.485187 18.8115
3 06080038 0.483794 0.00121900 18.7554 06080043 0.00231988 0.482693 18.8011