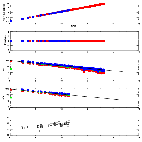
Left plots: red are targets, blue are telluric. Observed mags are calculated from median value of green chip. Zeropoint gives overall throughput: bigger number is more throughput.
First spatial plots: circles are objects, squares are tellurics, crosses are sky fibers. Colors give deviation of observed mag from expected 2MASS mag using the median zeropoint; red is brighter
Second spatial plots: circles are sky fibers. Colors give sky line brightness relative to plate median sky line brightness
FrameNreadsZeropointsMag plots Spatial mag deviation Spatial sky 16325A emission deviations (filled: sky, open: star) Spatial sky continuum emission Spatial sky telluric CO2 absorption deviations (filled: H < 10)
0 0
RedGreenBlue
z17.64
znorm Inf
sky -Inf -Inf -Inf
S/N 24.8 43.2 46.5
S/N(c) 0.0 0.0 0.0
SN(E/C) 0.91

IPAIRNAMESHIFTNEWSHIFTS/N NAMESHIFTNEWSHIFTS/N
0 02790027 0.418430 0.00000 18.8901 02790028 -0.000391165 0.418821 18.9489
1 02790031 0.417625 0.000804991 18.9261 02790029 -0.00158148 0.420011 18.9940
2 02790030 0.414414 0.00401601 18.9019 02790025 0.00000 0.418430 18.9587
3 02790026 0.416005 0.00242501 18.8462 02790032 -0.000495291 0.418925 18.9112