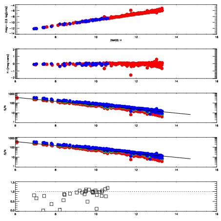
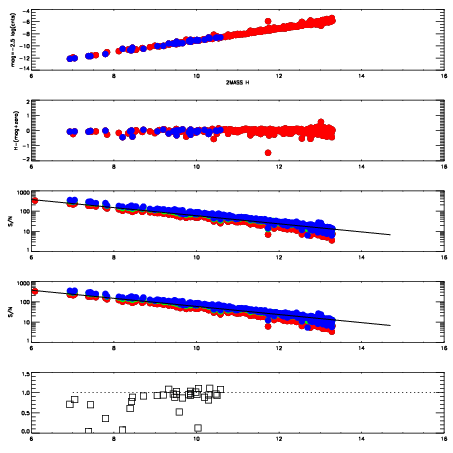
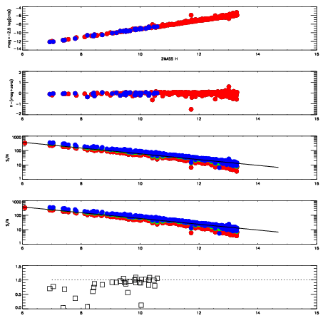
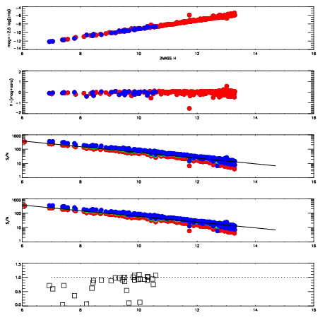
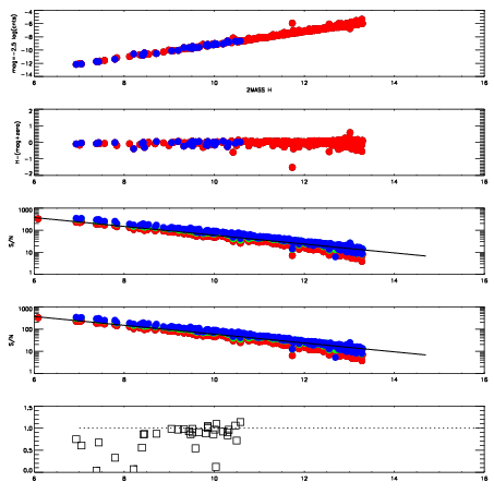
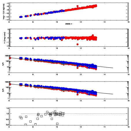
Frame | Nreads | Zeropoints | Mag plots
| Spatial mag deviation
| Spatial sky 16325A emission deviations (filled: sky, open: star)
| Spatial sky continuum emission
| Spatial sky telluric CO2 absorption deviations (filled: H < 10)
|
6060025
| 47
| | Red | Green | Blue
| z | | 19.14
| znorm | | 14.96
| sky | 14.4 | 14.2 | 14.4
| S/N | 15.8 | 25.7 | 28.3
| S/N(c) | 6.2 | 19.2 | 41.3
| SN(E/C) | 0.92
|
|
|
|
|
|
|
6060026
| 47
| | Red | Green | Blue
| z | | 19.17
| znorm | | 14.99
| sky | 14.3 | 14.2 | 14.4
| S/N | 16.1 | 25.8 | 28.6
| S/N(c) | 6.3 | 19.3 | 41.7
| SN(E/C) | 0.93
|
|
|
|
|
|
|
6060027
| 47
| | Red | Green | Blue
| z | | 19.19
| znorm | | 15.01
| sky | 14.4 | 14.2 | 14.4
| S/N | 16.3 | 26.2 | 28.8
| S/N(c) | 6.4 | 19.6 | 43.1
| SN(E/C) | 0.91
|
|
|
|
|
|
|
6060028
| 47
| | Red | Green | Blue
| z | | 19.21
| znorm | | 15.03
| sky | 14.3 | 14.1 | 14.4
| S/N | 16.6 | 26.7 | 29.5
| S/N(c) | 6.5 | 19.8 | 43.7
| SN(E/C) | 0.87
|
|
|
|
|
|
|
6060029
| 47
| | Red | Green | Blue
| z | | 19.15
| znorm | | 14.97
| sky | 14.5 | 14.3 | 14.3
| S/N | 15.9 | 26.0 | 28.3
| S/N(c) | 6.2 | 19.3 | 42.3
| SN(E/C) | 0.91
|
|
|
|
|
|
|
6060030
| 47
| | Red | Green | Blue
| z | | 19.19
| znorm | | 15.01
| sky | 14.3 | 14.3 | 14.4
| S/N | 16.6 | 26.5 | 29.1
| S/N(c) | 6.3 | 19.9 | 43.4
| SN(E/C) | 0.90
|
|
|
|
|
|
|
6060031
| 47
| | Red | Green | Blue
| z | | 19.16
| znorm | | 14.98
| sky | 14.3 | 14.3 | 14.5
| S/N | 15.9 | 26.4 | 28.8
| S/N(c) | 6.4 | 19.6 | 42.9
| SN(E/C) | 0.91
|
|
|
|
|
|
|
6060032
| 47
| | Red | Green | Blue
| z | | 19.18
| znorm | | 15.00
| sky | 14.5 | 14.3 | 14.5
| S/N | 16.5 | 26.7 | 29.0
| S/N(c) | 6.4 | 19.6 | 43.2
| SN(E/C) | 0.94
|
|
|
|
|
|
|