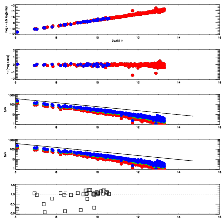
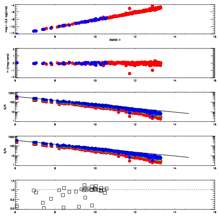
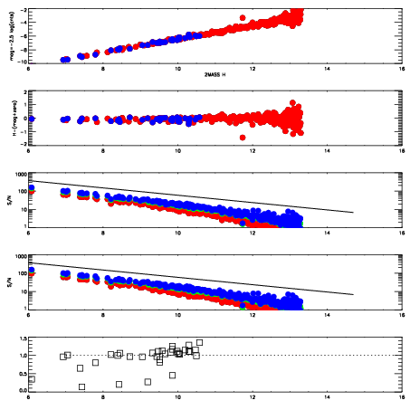
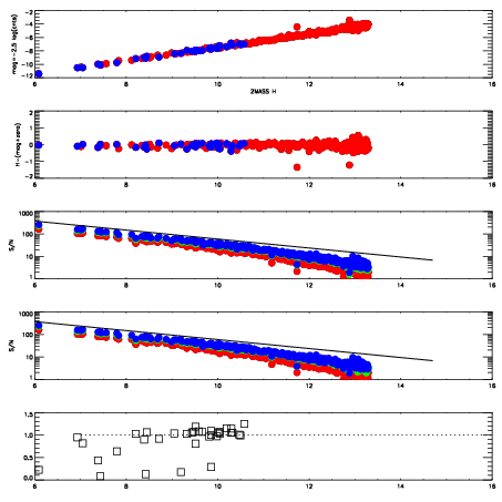
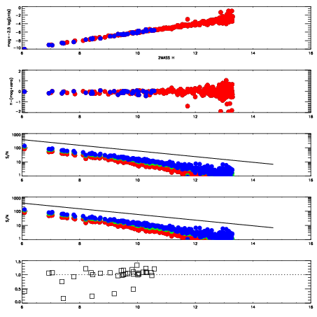
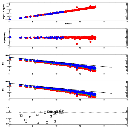
Frame | Nreads | Zeropoints | Mag plots
| Spatial mag deviation
| Spatial sky 16325A emission deviations (filled: sky, open: star)
| Spatial sky continuum emission
| Spatial sky telluric CO2 absorption deviations (filled: H < 10)
|
6620021
| 47
| | Red | Green | Blue
| z | | 17.53
| znorm | | 13.35
| sky | 13.8 | 13.7 | 13.9
| S/N | 4.8 | 8.5 | 9.5
| S/N(c) | 9.0 | 8.0 | 4.1
| SN(E/C) | 1.02
|
|
|
|
|
|
|
6620022
| 47
| | Red | Green | Blue
| z | | 16.51
| znorm | | 12.33
| sky | 13.6 | 13.5 | 13.8
| S/N | 1.6 | 4.0 | 4.6
| S/N(c) | 3.9 | 4.0 | 2.0
| SN(E/C) | 1.02
|
|
|
|
|
|
|
6620023
| 47
| | Red | Green | Blue
| z | | 16.11
| znorm | | 11.93
| sky | 13.6 | 13.5 | 13.7
| S/N | 1.4 | 3.0 | 3.6
| S/N(c) | 2.8 | 3.1 | 1.6
| SN(E/C) | 1.05
|
|
|
|
|
|
|
6620024
| 47
| | Red | Green | Blue
| z | | 17.16
| znorm | | 12.98
| sky | 13.7 | 13.6 | 13.9
| S/N | 3.4 | 6.6 | 7.3
| S/N(c) | 6.9 | 6.5 | 3.3
| SN(E/C) | 1.01
|
|
|
|
|
|
|
6620025
| 47
| | Red | Green | Blue
| z | | 17.30
| znorm | | 13.12
| sky | 13.8 | 13.7 | 13.9
| S/N | 3.7 | 7.2 | 7.9
| S/N(c) | 7.5 | 7.0 | 3.7
| SN(E/C) | 0.98
|
|
|
|
|
|
|
6620026
| 47
| | Red | Green | Blue
| z | | 17.85
| znorm | | 13.67
| sky | 13.8 | 13.8 | 14.1
| S/N | 6.0 | 11.0 | 11.8
| S/N(c) | 11.6 | 10.1 | 5.2
| SN(E/C) | 1.02
|
|
|
|
|
|
|
6620027
| 47
| | Red | Green | Blue
| z | | 18.49
| znorm | | 14.31
| sky | 14.2 | 14.1 | 14.3
| S/N | 10.2 | 17.0 | 18.4
| S/N(c) | 17.5 | 14.3 | 7.5
| SN(E/C) | 0.94
|
|
|
|
|
|
|
6620028
| 47
| | Red | Green | Blue
| z | | 18.22
| znorm | | 14.04
| sky | 14.1 | 14.1 | 14.2
| S/N | 8.3 | 14.6 | 15.5
| S/N(c) | 14.7 | 12.4 | 6.4
| SN(E/C) | 0.98
|
|
|
|
|
|
|