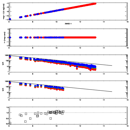
Left plots: red are targets, blue are telluric. Observed mags are calculated from median value of green chip. Zeropoint gives overall throughput: bigger number is more throughput.
First spatial plots: circles are objects, squares are tellurics, crosses are sky fibers. Colors give deviation of observed mag from expected 2MASS mag using the median zeropoint; red is brighter
Second spatial plots: circles are sky fibers. Colors give sky line brightness relative to plate median sky line brightness
FrameNreadsZeropointsMag plots Spatial mag deviation Spatial sky 16325A emission deviations (filled: sky, open: star) Spatial sky continuum emission Spatial sky telluric CO2 absorption deviations (filled: H < 10)
0 0
RedGreenBlue
z17.65
znorm Inf
sky -Inf -Inf -Inf
S/N 9.9 18.4 19.9
S/N(c) 0.0 0.0 0.0
SN(E/C) 0.99

IPAIRNAMESHIFTNEWSHIFTS/N NAMESHIFTNEWSHIFTS/N
0 06620027 0.478540 0.00000 18.4890 06620028 0.000180343 0.478360 18.2228
1 06620026 0.478410 0.000129998 17.8539 06620021 0.00000 0.478540 17.5388
2 06620022 0.477627 0.000912994 16.5175 06620025 -0.000679810 0.479220 17.3097
3 06620023 0.478480 5.99921e-05 16.1224 06620024 0.000253728 0.478286 17.1676