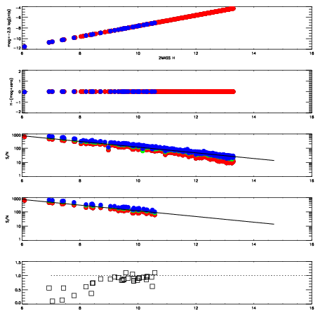
Left plots: red are targets, blue are telluric. Observed mags are calculated from median value of green chip. Zeropoint gives overall throughput: bigger number is more throughput.
First spatial plots: circles are objects, squares are tellurics, crosses are sky fibers. Colors give deviation of observed mag from expected 2MASS mag using the median zeropoint; red is brighter
Second spatial plots: circles are sky fibers. Colors give sky line brightness relative to plate median sky line brightness
FrameNreadsZeropointsMag plots Spatial mag deviation Spatial sky 16325A emission deviations (filled: sky, open: star) Spatial sky continuum emission Spatial sky telluric CO2 absorption deviations (filled: H < 10)
0 0
RedGreenBlue
z17.63
znorm Inf
sky -NaN -NaN -Inf
S/N 29.0 47.4 53.0
S/N(c) 0.0 0.0 0.0
SN(E/C) 0.88

IPAIRNAMESHIFTNEWSHIFTS/N NAMESHIFTNEWSHIFTS/N
0 06670028 0.476049 0.00000 19.1173 06670033 0.00318382 0.472865 19.1003
1 06670031 0.475640 0.000409007 19.0933 06670030 0.000922951 0.475126 19.0991
2 06670032 0.475742 0.000306994 19.0902 06670026 0.00000 0.476049 19.0544
3 06670027 0.475300 0.000748992 19.0711 06670029 0.00309524 0.472954 19.0023