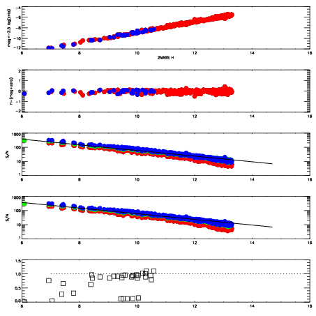
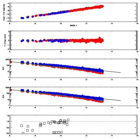
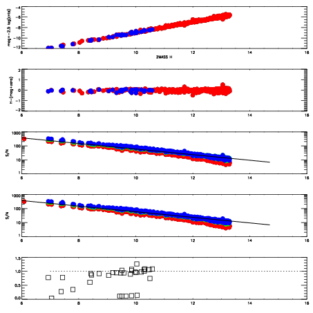
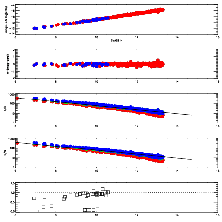
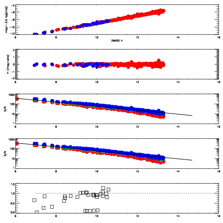
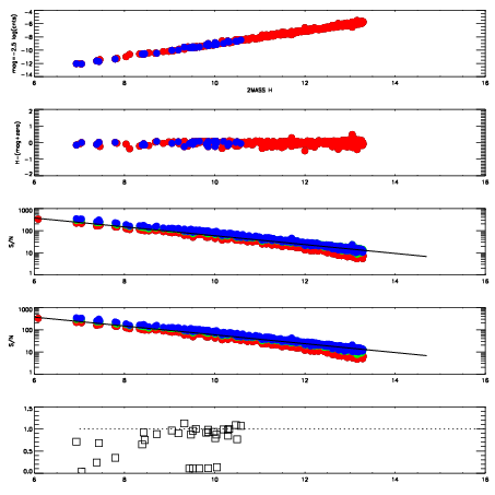
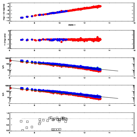
Frame | Nreads | Zeropoints | Mag plots
| Spatial mag deviation
| Spatial sky 16325A emission deviations (filled: sky, open: star)
| Spatial sky continuum emission
| Spatial sky telluric CO2 absorption deviations (filled: H < 10)
|
6900011
| 47
| | Red | Green | Blue
| z | | 19.12
| znorm | | 14.93
| sky | 14.5 | 14.3 | 13.9
| S/N | 16.9 | 26.5 | 26.9
| S/N(c) | 11.9 | 5.0 | 11.4
| SN(E/C) | 0.92
|
|
|
|
|
|
|
6900012
| 47
| | Red | Green | Blue
| z | | 19.11
| znorm | | 14.93
| sky | 14.8 | 14.5 | 14.2
| S/N | 16.3 | 26.2 | 27.1
| S/N(c) | 11.8 | 5.0 | 11.3
| SN(E/C) | 0.88
|
|
|
|
|
|
|
6900013
| 47
| | Red | Green | Blue
| z | | 18.96
| znorm | | 14.78
| sky | 14.5 | 14.4 | 14.3
| S/N | 15.0 | 24.2 | 24.9
| S/N(c) | 10.9 | 4.7 | 10.6
| SN(E/C) | 0.92
|
|
|
|
|
|
|
6900014
| 47
| | Red | Green | Blue
| z | | 19.06
| znorm | | 14.88
| sky | 14.7 | 14.7 | 14.3
| S/N | 15.6 | 25.4 | 25.8
| S/N(c) | 11.3 | 4.9 | 11.1
| SN(E/C) | 0.88
|
|
|
|
|
|
|
6900015
| 47
| | Red | Green | Blue
| z | | 18.91
| znorm | | 14.73
| sky | 14.6 | 14.5 | 14.2
| S/N | 13.5 | 22.6 | 23.3
| S/N(c) | 10.2 | 4.5 | 10.3
| SN(E/C) | 0.89
|
|
|
|
|
|
|
6900016
| 47
| | Red | Green | Blue
| z | | 19.10
| znorm | | 14.92
| sky | 14.7 | 14.7 | 14.3
| S/N | 16.1 | 26.3 | 26.9
| S/N(c) | 11.6 | 5.0 | 11.3
| SN(E/C) | 0.87
|
|
|
|
|
|
|
6900017
| 47
| | Red | Green | Blue
| z | | 19.14
| znorm | | 14.96
| sky | 15.1 | 14.7 | 14.4
| S/N | 16.2 | 26.3 | 27.4
| S/N(c) | 11.7 | 5.0 | 11.5
| SN(E/C) | 0.87
|
|
|
|
|
|
|
6900018
| 47
| | Red | Green | Blue
| z | | 19.01
| znorm | | 14.83
| sky | 14.6 | 14.7 | 14.4
| S/N | 14.9 | 24.6 | 25.6
| S/N(c) | 10.9 | 4.6 | 10.8
| SN(E/C) | 0.85
|
|
|
|
|
|
|