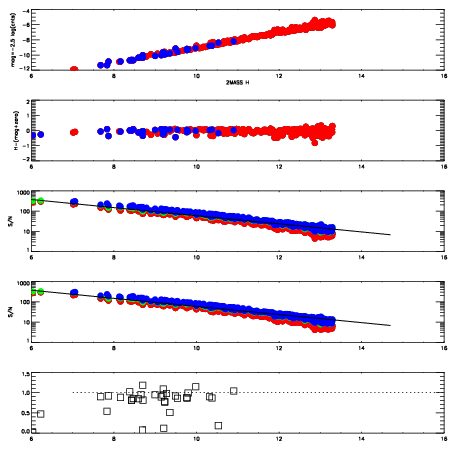
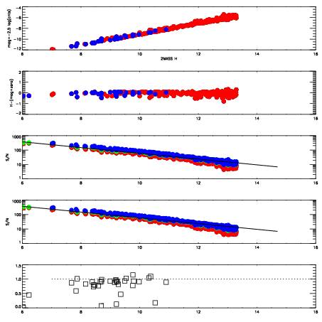
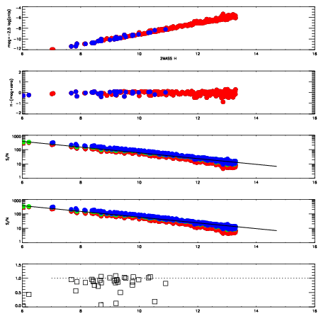
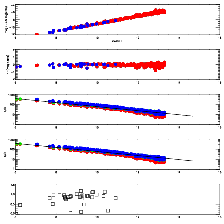
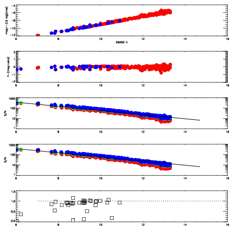
Frame | Nreads | Zeropoints | Mag plots
| Spatial mag deviation
| Spatial sky 16325A emission deviations (filled: sky, open: star)
| Spatial sky continuum emission
| Spatial sky telluric CO2 absorption deviations (filled: H < 10)
|
6430010
| 47
| | Red | Green | Blue
| z | | 19.10
| znorm | | 14.92
| sky | 14.2 | 14.2 | 14.1
| S/N | 17.3 | 26.6 | 27.6
| S/N(c) | 20.7 | 25.5 | 56.4
| SN(E/C) | 0.86
|
|
|
|
|
|
|
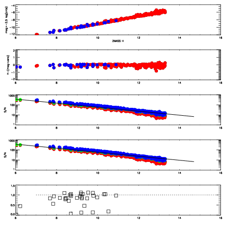
6430011
| 47
| | Red | Green | Blue
| z | | 19.09
| znorm | | 14.91
| sky | 14.4 | 14.3 | 14.6
| S/N | 16.9 | 25.9 | 27.5
| S/N(c) | 20.4 | 25.5 | 56.1
| SN(E/C) | 0.89
|
|
|
|
|
|
|
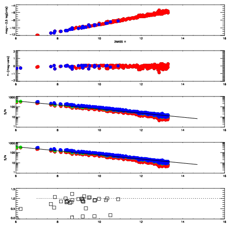
6430012
| 47
| | Red | Green | Blue
| z | | 19.08
| znorm | | 14.90
| sky | 14.5 | 14.5 | 14.5
| S/N | 16.8 | 25.9 | 27.1
| S/N(c) | 20.2 | 25.3 | 55.4
| SN(E/C) | 0.87
|
|
|
|
|
|
|
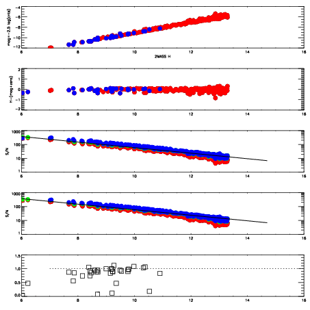
6430013
| 47
| | Red | Green | Blue
| z | | 19.03
| znorm | | 14.85
| sky | 14.5 | 14.4 | 14.6
| S/N | 15.8 | 24.9 | 26.4
| S/N(c) | 19.7 | 24.8 | 55.3
| SN(E/C) | 0.91
|
|
|
|
|
|
|
6430014
| 47
| | Red | Green | Blue
| z | | 19.10
| znorm | | 14.92
| sky | 14.5 | 14.5 | 14.5
| S/N | 16.9 | 26.0 | 27.5
| S/N(c) | 20.3 | 25.5 | 55.7
| SN(E/C) | 0.87
|
|
|
|
|
|
|
6430015
| 47
| | Red | Green | Blue
| z | | 19.11
| znorm | | 14.93
| sky | 14.4 | 14.5 | 14.5
| S/N | 16.9 | 26.1 | 27.3
| S/N(c) | 20.4 | 25.6 | 57.0
| SN(E/C) | 0.87
|
|
|
|
|
|
|
6430016
| 47
| | Red | Green | Blue
| z | | 19.10
| znorm | | 14.92
| sky | 14.4 | 14.5 | 14.6
| S/N | 16.5 | 25.7 | 26.9
| S/N(c) | 20.4 | 25.5 | 57.3
| SN(E/C) | 0.89
|
|
|
|
|
|
|
6430017
| 47
| | Red | Green | Blue
| z | | 19.10
| znorm | | 14.92
| sky | 14.7 | 14.5 | 14.5
| S/N | 16.5 | 25.6 | 26.6
| S/N(c) | 20.2 | 25.3 | 57.0
| SN(E/C) | 0.85
|
|
|
|
|
|
|