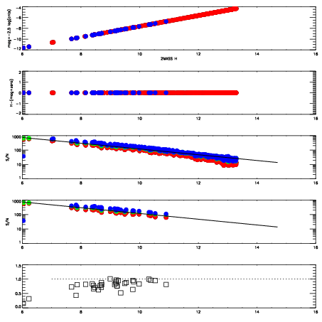
Left plots: red are targets, blue are telluric. Observed mags are calculated from median value of green chip. Zeropoint gives overall throughput: bigger number is more throughput.
First spatial plots: circles are objects, squares are tellurics, crosses are sky fibers. Colors give deviation of observed mag from expected 2MASS mag using the median zeropoint; red is brighter
Second spatial plots: circles are sky fibers. Colors give sky line brightness relative to plate median sky line brightness
FrameNreadsZeropointsMag plots Spatial mag deviation Spatial sky 16325A emission deviations (filled: sky, open: star) Spatial sky continuum emission Spatial sky telluric CO2 absorption deviations (filled: H < 10)
0 0
RedGreenBlue
z17.64
znorm Inf
sky -NaN -Inf -Inf
S/N 29.4 46.8 50.1
S/N(c) 0.0 0.0 0.0
SN(E/C) 0.81

IPAIRNAMESHIFTNEWSHIFTS/N NAMESHIFTNEWSHIFTS/N
0 06430016 0.485326 0.00000 19.0741 06430010 0.00000 0.485326 19.0741
1 06430015 0.485014 0.000312001 19.0844 06430014 -0.000794125 0.486120 19.0834
2 06430011 0.483086 0.00224000 19.0575 06430017 0.00225854 0.483067 19.0705
3 06430012 0.483718 0.00160798 19.0443 06430013 0.000198589 0.485127 19.0015