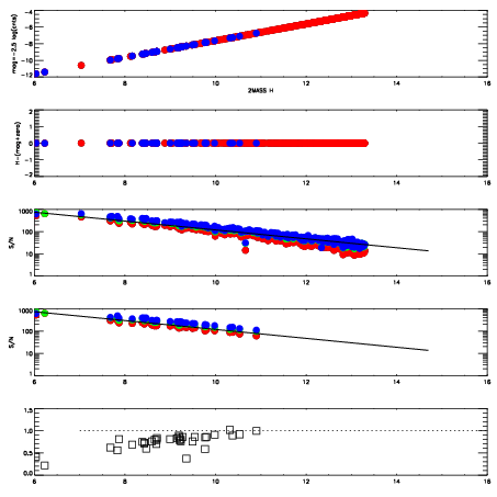
Left plots: red are targets, blue are telluric. Observed mags are calculated from median value of green chip. Zeropoint gives overall throughput: bigger number is more throughput.
First spatial plots: circles are objects, squares are tellurics, crosses are sky fibers. Colors give deviation of observed mag from expected 2MASS mag using the median zeropoint; red is brighter
Second spatial plots: circles are sky fibers. Colors give sky line brightness relative to plate median sky line brightness
FrameNreadsZeropointsMag plots Spatial mag deviation Spatial sky 16325A emission deviations (filled: sky, open: star) Spatial sky continuum emission Spatial sky telluric CO2 absorption deviations (filled: H < 10)
0 0
RedGreenBlue
z17.63
znorm Inf
sky -NaN -NaN -Inf
S/N 30.4 48.6 49.9
S/N(c) 0.0 0.0 0.0
SN(E/C) 0.79

IPAIRNAMESHIFTNEWSHIFTS/N NAMESHIFTNEWSHIFTS/N
0 06610030 0.470742 0.00000 19.1179 06610032 -0.00549542 0.476237 19.1275
1 06610026 0.465525 0.00521699 19.1753 06610025 0.00000 0.470742 19.1847
2 06610031 0.470150 0.000591993 19.1579 06610028 -0.00446320 0.475205 19.1635
3 06610027 0.465603 0.00513899 19.1549 06610029 -0.00522110 0.475963 19.1346