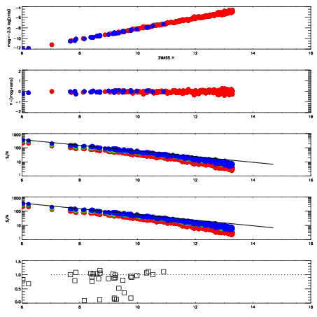
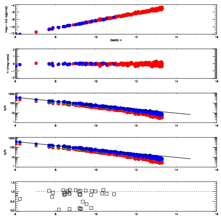
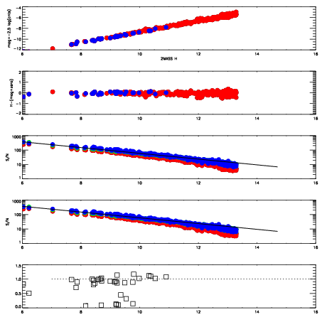
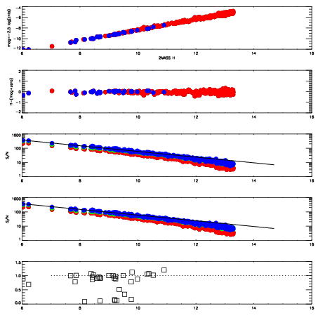
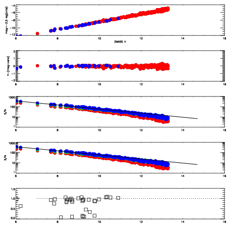
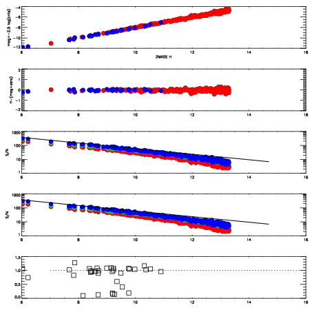
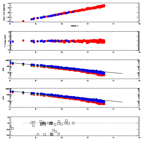
Frame | Nreads | Zeropoints | Mag plots
| Spatial mag deviation
| Spatial sky 16325A emission deviations (filled: sky, open: star)
| Spatial sky continuum emission
| Spatial sky telluric CO2 absorption deviations (filled: H < 10)
|
6650026
| 47
| | Red | Green | Blue
| z | | 18.70
| znorm | | 14.52
| sky | 15.1 | 14.5 | 14.5
| S/N | 12.2 | 19.6 | 19.4
| S/N(c) | 10.1 | 20.0 | 25.1
| SN(E/C) | 0.90
|
|
|
|
|
|
|
6650027
| 47
| | Red | Green | Blue
| z | | 18.59
| znorm | | 14.41
| sky | 15.1 | 14.7 | 14.8
| S/N | 11.5 | 18.3 | 18.9
| S/N(c) | 9.6 | 19.0 | 24.1
| SN(E/C) | 0.94
|
|
|
|
|
|
|
6650028
| 47
| | Red | Green | Blue
| z | | 18.55
| znorm | | 14.37
| sky | 15.2 | 14.8 | 15.1
| S/N | 11.0 | 18.0 | 18.9
| S/N(c) | 9.4 | 18.5 | 24.0
| SN(E/C) | 0.90
|
|
|
|
|
|
|
6650029
| 47
| | Red | Green | Blue
| z | | 18.41
| znorm | | 14.23
| sky | 15.3 | 15.0 | 15.2
| S/N | 9.8 | 16.5 | 17.1
| S/N(c) | 8.6 | 17.4 | 22.5
| SN(E/C) | 0.91
|
|
|
|
|
|
|
6650030
| 47
| | Red | Green | Blue
| z | | 18.38
| znorm | | 14.20
| sky | 15.4 | 15.0 | 14.9
| S/N | 9.9 | 16.1 | 16.9
| S/N(c) | 8.5 | 17.1 | 22.1
| SN(E/C) | 0.86
|
|
|
|
|
|
|
6650031
| 47
| | Red | Green | Blue
| z | | 18.49
| znorm | | 14.31
| sky | 15.2 | 15.0 | 14.8
| S/N | 10.4 | 17.3 | 17.8
| S/N(c) | 9.0 | 18.2 | 23.6
| SN(E/C) | 0.91
|
|
|
|
|
|
|
6650032
| 47
| | Red | Green | Blue
| z | | 18.05
| znorm | | 13.87
| sky | 15.5 | 15.1 | 15.1
| S/N | 7.4 | 13.5 | 14.0
| S/N(c) | 6.9 | 14.8 | 19.0
| SN(E/C) | 0.97
|
|
|
|
|
|
|
6650033
| 47
| | Red | Green | Blue
| z | | 18.22
| znorm | | 14.04
| sky | 15.2 | 14.9 | 15.1
| S/N | 8.6 | 15.0 | 15.4
| S/N(c) | 7.8 | 16.0 | 20.7
| SN(E/C) | 0.90
|
|
|
|
|
|
|