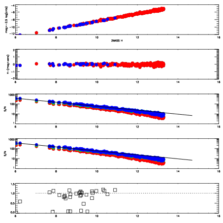
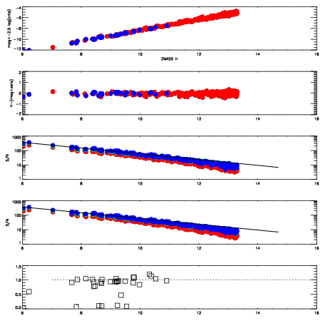
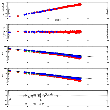
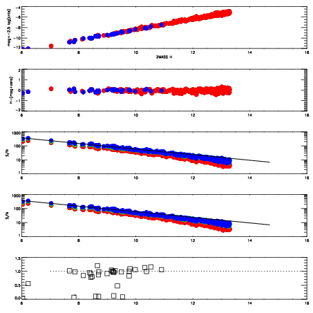
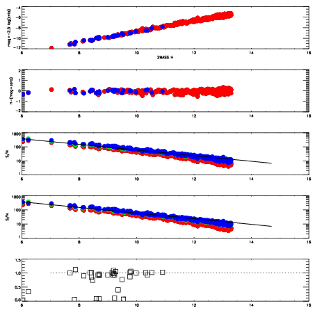
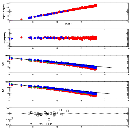
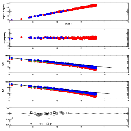
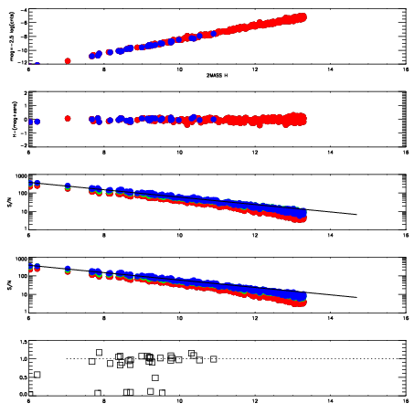
Frame | Nreads | Zeropoints | Mag plots
| Spatial mag deviation
| Spatial sky 16325A emission deviations (filled: sky, open: star)
| Spatial sky continuum emission
| Spatial sky telluric CO2 absorption deviations (filled: H < 10)
|
6890011
| 47
| | Red | Green | Blue
| z | | 18.41
| znorm | | 14.23
| sky | 14.5 | 14.2 | 14.0
| S/N | 10.0 | 16.6 | 16.8
| S/N(c) | 26.2 | 16.8 | 13.2
| SN(E/C) | 0.93
|
|
|
|
|
|
|
6890012
| 47
| | Red | Green | Blue
| z | | 18.43
| znorm | | 14.25
| sky | 14.6 | 14.4 | 14.5
| S/N | 9.5 | 17.0 | 17.1
| S/N(c) | 25.2 | 16.9 | 13.4
| SN(E/C) | 0.95
|
|
|
|
|
|
|
6890013
| 47
| | Red | Green | Blue
| z | | 18.80
| znorm | | 14.62
| sky | 14.7 | 14.5 | 14.3
| S/N | 12.5 | 20.2 | 20.5
| S/N(c) | 30.3 | 20.5 | 16.4
| SN(E/C) | 0.93
|
|
|
|
|
|
|
6890014
| 47
| | Red | Green | Blue
| z | | 18.40
| znorm | | 14.22
| sky | 14.9 | 14.6 | 14.5
| S/N | 9.3 | 16.6 | 16.6
| S/N(c) | 24.3 | 16.7 | 13.5
| SN(E/C) | 0.93
|
|
|
|
|
|
|
6890015
| 47
| | Red | Green | Blue
| z | | 18.40
| znorm | | 14.22
| sky | 14.6 | 14.5 | 14.5
| S/N | 9.5 | 15.5 | 15.9
| S/N(c) | 24.4 | 16.8 | 13.6
| SN(E/C) | 0.91
|
|
|
|
|
|
|
6890016
| 47
| | Red | Green | Blue
| z | | 18.58
| znorm | | 14.40
| sky | 14.5 | 14.6 | 14.5
| S/N | 10.1 | 17.9 | 17.9
| S/N(c) | 26.7 | 18.3 | 14.8
| SN(E/C) | 0.93
|
|
|
|
|
|
|
6890017
| 47
| | Red | Green | Blue
| z | | 18.50
| znorm | | 14.32
| sky | 14.7 | 14.5 | 14.5
| S/N | 9.8 | 16.3 | 17.0
| S/N(c) | 25.9 | 17.7 | 14.5
| SN(E/C) | 0.93
|
|
|
|
|
|
|
6890018
| 47
| | Red | Green | Blue
| z | | 18.52
| znorm | | 14.34
| sky | 15.0 | 14.6 | 14.5
| S/N | 10.1 | 17.1 | 17.3
| S/N(c) | 26.1 | 18.0 | 14.6
| SN(E/C) | 0.96
|
|
|
|
|
|
|