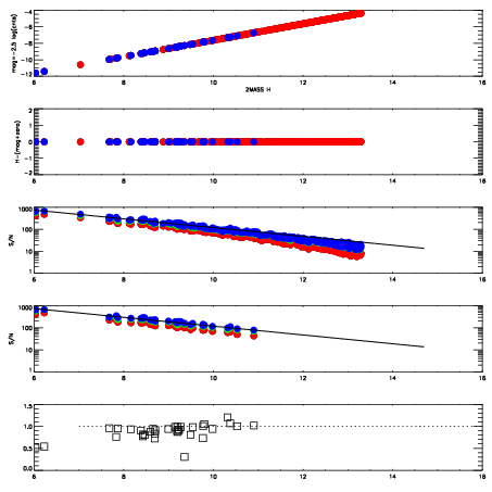
Left plots: red are targets, blue are telluric. Observed mags are calculated from median value of green chip. Zeropoint gives overall throughput: bigger number is more throughput.
First spatial plots: circles are objects, squares are tellurics, crosses are sky fibers. Colors give deviation of observed mag from expected 2MASS mag using the median zeropoint; red is brighter
Second spatial plots: circles are sky fibers. Colors give sky line brightness relative to plate median sky line brightness
FrameNreadsZeropointsMag plots Spatial mag deviation Spatial sky 16325A emission deviations (filled: sky, open: star) Spatial sky continuum emission Spatial sky telluric CO2 absorption deviations (filled: H < 10)
0 0
RedGreenBlue
z17.64
znorm Inf
sky -Inf -Inf -Inf
S/N 17.2 31.1 32.2
S/N(c) 0.0 0.0 0.0
SN(E/C) 0.92

IPAIRNAMESHIFTNEWSHIFTS/N NAMESHIFTNEWSHIFTS/N
0 06890017 0.499062 0.00000 18.4631 06890014 0.00159161 0.497470 18.3726
1 06890013 0.495996 0.00306600 18.7676 06890018 0.00259409 0.496468 18.4894
2 06890016 0.497741 0.00132099 18.5362 06890011 0.00000 0.499062 18.3839
3 06890012 0.495659 0.00340301 18.3998 06890015 -0.000171105 0.499233 18.3722