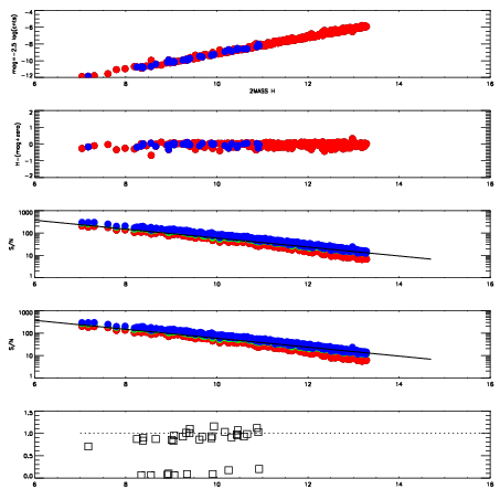
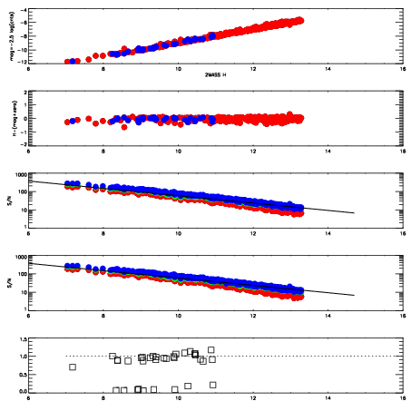
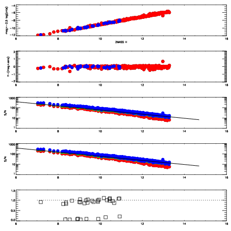
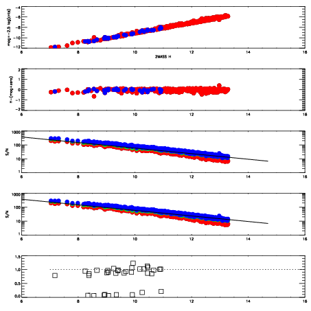
Frame | Nreads | Zeropoints | Mag plots
| Spatial mag deviation
| Spatial sky 16325A emission deviations (filled: sky, open: star)
| Spatial sky continuum emission
| Spatial sky telluric CO2 absorption deviations (filled: H < 10)
|
3070023
| 47
| | Red | Green | Blue
| z | | 19.11
| znorm | | 14.93
| sky | 14.6 | 14.6 | 14.6
| S/N | 15.9 | 24.9 | 25.9
| S/N(c) | 24.5 | 21.8 | 13.0
| SN(E/C) | 0.91
|
|
|
|
|
|
|
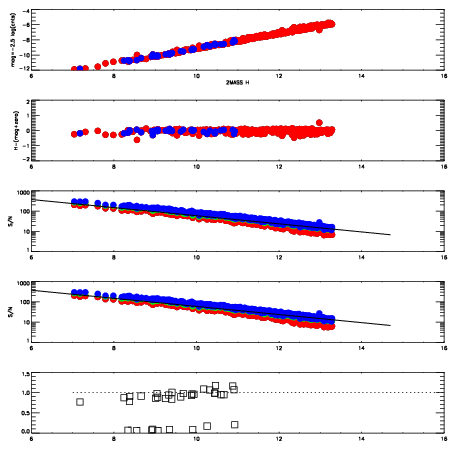
3070024
| 47
| | Red | Green | Blue
| z | | 19.17
| znorm | | 14.99
| sky | 14.8 | 14.6 | 14.8
| S/N | 16.4 | 26.0 | 27.1
| S/N(c) | 25.2 | 22.6 | 13.3
| SN(E/C) | 0.90
|
|
|
|
|
|
|
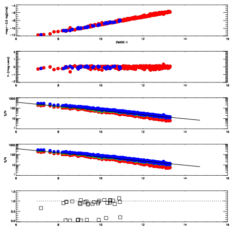
3070025
| 47
| | Red | Green | Blue
| z | | 19.14
| znorm | | 14.96
| sky | 14.7 | 14.6 | 14.8
| S/N | 16.2 | 25.4 | 26.5
| S/N(c) | 24.5 | 22.1 | 13.0
| SN(E/C) | 0.92
|
|
|
|
|
|
|
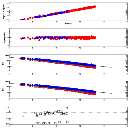
3070026
| 47
| | Red | Green | Blue
| z | | 19.13
| znorm | | 14.95
| sky | 14.9 | 14.6 | 14.7
| S/N | 16.1 | 25.7 | 26.3
| S/N(c) | 24.5 | 22.1 | 13.0
| SN(E/C) | 0.90
|
|
|
|
|
|
|
3070027
| 47
| | Red | Green | Blue
| z | | 19.19
| znorm | | 15.01
| sky | 14.8 | 14.7 | 14.7
| S/N | 16.4 | 26.7 | 27.3
| S/N(c) | 24.8 | 22.7 | 13.4
| SN(E/C) | 0.90
|
|
|
|
|
|
|
3070028
| 47
| | Red | Green | Blue
| z | | 19.08
| znorm | | 14.90
| sky | 15.0 | 14.8 | 14.7
| S/N | 15.3 | 24.6 | 25.7
| S/N(c) | 23.5 | 21.3 | 12.7
| SN(E/C) | 0.90
|
|
|
|
|
|
|
3070029
| 47
| | Red | Green | Blue
| z | | 19.06
| znorm | | 14.88
| sky | 15.0 | 14.7 | 14.6
| S/N | 15.2 | 24.4 | 25.8
| S/N(c) | 22.9 | 21.1 | 12.7
| SN(E/C) | 0.89
|
|
|
|
|
|
|
3070030
| 47
| | Red | Green | Blue
| z | | 19.02
| znorm | | 14.84
| sky | 14.8 | 14.8 | 14.7
| S/N | 15.0 | 24.1 | 24.9
| S/N(c) | 22.5 | 20.7 | 12.5
| SN(E/C) | 0.91
|
|
|
|
|
|
|