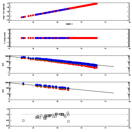
Left plots: red are targets, blue are telluric. Observed mags are calculated from median value of green chip. Zeropoint gives overall throughput: bigger number is more throughput.
First spatial plots: circles are objects, squares are tellurics, crosses are sky fibers. Colors give deviation of observed mag from expected 2MASS mag using the median zeropoint; red is brighter
Second spatial plots: circles are sky fibers. Colors give sky line brightness relative to plate median sky line brightness
FrameNreadsZeropointsMag plots Spatial mag deviation Spatial sky 16325A emission deviations (filled: sky, open: star) Spatial sky continuum emission Spatial sky telluric CO2 absorption deviations (filled: H < 10)
0 0
RedGreenBlue
z17.64
znorm Inf
sky -NaN -NaN -Inf
S/N 23.7 41.1 43.3
S/N(c) 0.0 0.0 0.0
SN(E/C) 0.89

IPAIRNAMESHIFTNEWSHIFTS/N NAMESHIFTNEWSHIFTS/N
0 06090048 0.483493 0.00000 18.8614 06090047 0.00000 0.483493 18.8746
1 06090049 0.483035 0.000458002 19.0199 06090050 0.000173866 0.483319 18.9944
2 06090053 0.482212 0.00128099 18.9810 06090051 -0.000641551 0.484135 18.9478
3 06090052 0.482166 0.00132701 18.9650 06090054 -0.000440796 0.483934 18.9020