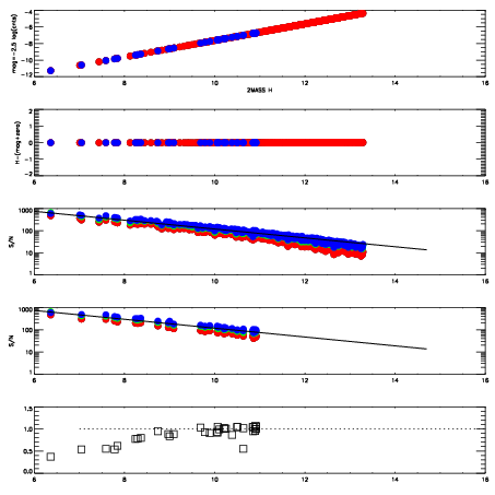
Left plots: red are targets, blue are telluric. Observed mags are calculated from median value of green chip. Zeropoint gives overall throughput: bigger number is more throughput.
First spatial plots: circles are objects, squares are tellurics, crosses are sky fibers. Colors give deviation of observed mag from expected 2MASS mag using the median zeropoint; red is brighter
Second spatial plots: circles are sky fibers. Colors give sky line brightness relative to plate median sky line brightness
FrameNreadsZeropointsMag plots Spatial mag deviation Spatial sky 16325A emission deviations (filled: sky, open: star) Spatial sky continuum emission Spatial sky telluric CO2 absorption deviations (filled: H < 10)
0 0
RedGreenBlue
z17.64
znorm Inf
sky -Inf -Inf -Inf
S/N 23.5 41.2 43.7
S/N(c) 0.0 0.0 0.0
SN(E/C) 0.95

IPAIRNAMESHIFTNEWSHIFTS/N NAMESHIFTNEWSHIFTS/N
0 05480049 0.487816 0.00000 18.8767 05480051 -0.000737094 0.488553 18.7085
1 05480052 0.486911 0.000905007 18.9720 05480054 -0.00152779 0.489344 18.8426
2 05480053 0.485894 0.00192201 18.9141 05480047 0.00000 0.487816 18.8422
3 05480048 0.487488 0.000328004 18.8047 05480050 -0.00244839 0.490264 18.3654