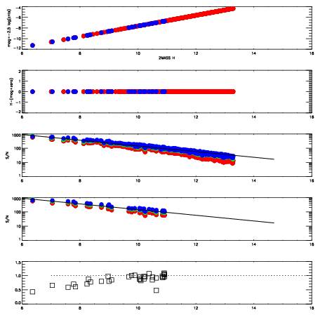
Left plots: red are targets, blue are telluric. Observed mags are calculated from median value of green chip. Zeropoint gives overall throughput: bigger number is more throughput.
First spatial plots: circles are objects, squares are tellurics, crosses are sky fibers. Colors give deviation of observed mag from expected 2MASS mag using the median zeropoint; red is brighter
Second spatial plots: circles are sky fibers. Colors give sky line brightness relative to plate median sky line brightness
FrameNreadsZeropointsMag plots Spatial mag deviation Spatial sky 16325A emission deviations (filled: sky, open: star) Spatial sky continuum emission Spatial sky telluric CO2 absorption deviations (filled: H < 10)
0 0
RedGreenBlue
z17.64
znorm Inf
sky -Inf -Inf -Inf
S/N 29.2 48.5 53.1
S/N(c) 0.0 0.0 0.0
SN(E/C) 0.92

IPAIRNAMESHIFTNEWSHIFTS/N NAMESHIFTNEWSHIFTS/N
0 06300027 0.485886 0.00000 18.9573 06300028 0.00173064 0.484155 18.9410
1 06300026 0.485174 0.000712007 19.0494 06300025 0.00000 0.485886 19.0951
2 06300030 0.481597 0.00428900 19.0310 06300033 -0.00137137 0.487257 18.9501
3 06300031 0.481954 0.00393200 18.8841 06300032 0.000837337 0.485049 18.9401
4 06300034 0.481213 0.00467300 18.0990 06300029 -0.000412487 0.486299 18.7652
5 06300035 0.481874 0.00401202 17.7869 06300036 -0.00495319 0.490839 18.3240