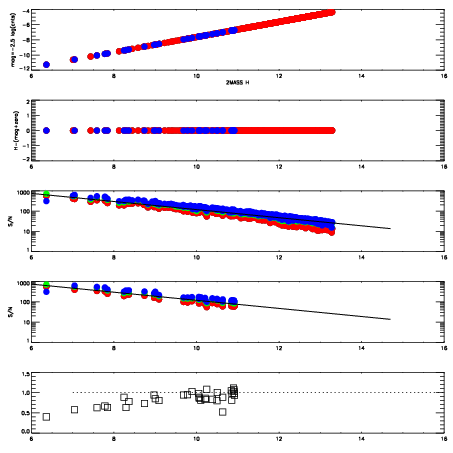
Left plots: red are targets, blue are telluric. Observed mags are calculated from median value of green chip. Zeropoint gives overall throughput: bigger number is more throughput.
First spatial plots: circles are objects, squares are tellurics, crosses are sky fibers. Colors give deviation of observed mag from expected 2MASS mag using the median zeropoint; red is brighter
Second spatial plots: circles are sky fibers. Colors give sky line brightness relative to plate median sky line brightness
FrameNreadsZeropointsMag plots Spatial mag deviation Spatial sky 16325A emission deviations (filled: sky, open: star) Spatial sky continuum emission Spatial sky telluric CO2 absorption deviations (filled: H < 10)
0 0
RedGreenBlue
z17.64
znorm Inf
sky -Inf -Inf -Inf
S/N 30.2 49.2 53.8
S/N(c) 0.0 0.0 0.0
SN(E/C) 0.86

IPAIRNAMESHIFTNEWSHIFTS/N NAMESHIFTNEWSHIFTS/N
0 06330026 0.469573 0.00000 19.1175 06330031 -0.00101062 0.470584 19.1608
1 06330029 0.467883 0.00169000 19.1945 06330024 0.00000 0.469573 19.1961
2 06330025 0.469312 0.000260979 19.1908 06330028 -0.00170159 0.471275 19.1798
3 06330030 0.468404 0.00116900 19.1431 06330027 -0.00102215 0.470595 19.1689