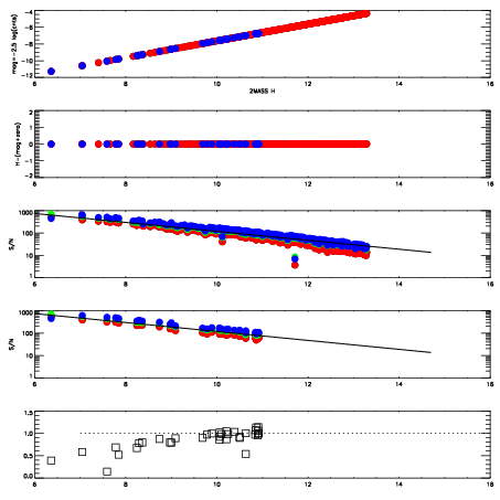
Left plots: red are targets, blue are telluric. Observed mags are calculated from median value of green chip. Zeropoint gives overall throughput: bigger number is more throughput.
First spatial plots: circles are objects, squares are tellurics, crosses are sky fibers. Colors give deviation of observed mag from expected 2MASS mag using the median zeropoint; red is brighter
Second spatial plots: circles are sky fibers. Colors give sky line brightness relative to plate median sky line brightness
FrameNreadsZeropointsMag plots Spatial mag deviation Spatial sky 16325A emission deviations (filled: sky, open: star) Spatial sky continuum emission Spatial sky telluric CO2 absorption deviations (filled: H < 10)
0 0
RedGreenBlue
z17.64
znorm Inf
sky -Inf -Inf -Inf
S/N 27.9 47.8 51.9
S/N(c) 0.0 0.0 0.0
SN(E/C) 0.92

IPAIRNAMESHIFTNEWSHIFTS/N NAMESHIFTNEWSHIFTS/N
0 06100041 0.490276 0.00000 19.1464 06100040 0.00129873 0.488977 19.1254
1 06100042 0.489655 0.000621021 19.1685 06100039 0.00258653 0.487689 19.1274
2 06100038 0.487459 0.00281700 19.0715 06100043 -0.000320049 0.490596 19.1215
3 06100037 0.486663 0.00361300 19.0344 06100036 0.00000 0.490276 18.9719