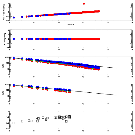
Left plots: red are targets, blue are telluric. Observed mags are calculated from median value of green chip. Zeropoint gives overall throughput: bigger number is more throughput.
First spatial plots: circles are objects, squares are tellurics, crosses are sky fibers. Colors give deviation of observed mag from expected 2MASS mag using the median zeropoint; red is brighter
Second spatial plots: circles are sky fibers. Colors give sky line brightness relative to plate median sky line brightness
FrameNreadsZeropointsMag plots Spatial mag deviation Spatial sky 16325A emission deviations (filled: sky, open: star) Spatial sky continuum emission Spatial sky telluric CO2 absorption deviations (filled: H < 10)
0 0
RedGreenBlue
z17.64
znorm Inf
sky -Inf -Inf -NaN
S/N 23.8 41.6 45.7
S/N(c) 0.0 0.0 0.0
SN(E/C) 0.94

IPAIRNAMESHIFTNEWSHIFTS/N NAMESHIFTNEWSHIFTS/N
0 06420028 0.488403 0.00000 18.8257 06420029 0.00316362 0.485239 18.5247
1 06420024 0.483676 0.00472701 18.8820 06420022 0.00000 0.488403 19.0649
2 06420027 0.487901 0.000501990 18.8751 06420026 0.00276699 0.485636 18.7333
3 06420023 0.483269 0.00513399 18.8729 06420025 0.00230288 0.486100 18.6797