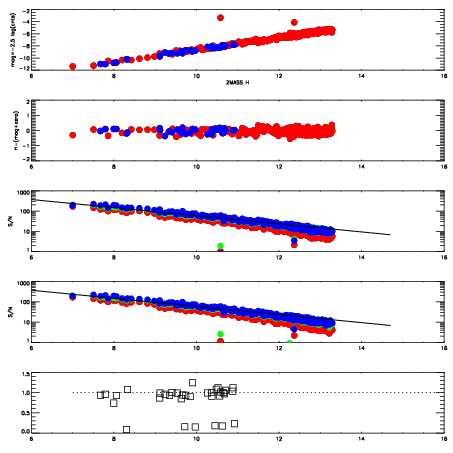
Frame | Nreads | Zeropoints | Mag plots
| Spatial mag deviation
| Spatial sky 16325A emission deviations (filled: sky, open: star)
| Spatial sky continuum emission
| Spatial sky telluric CO2 absorption deviations (filled: H < 10)
|
2600048
| 47
| | Red | Green | Blue
| z | | 18.53
| znorm | | 14.35
| sky | 14.8 | 14.6 | 14.2
| S/N | 10.9 | 18.6 | 19.0
| S/N(c) | 8.3 | 14.8 | 12.8
| SN(E/C) | 0.96
|
|
|
|
|
|
|
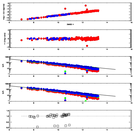
2600049
| 47
| | Red | Green | Blue
| z | | 18.70
| znorm | | 14.52
| sky | 14.7 | 14.5 | 14.5
| S/N | 12.4 | 19.7 | 21.5
| S/N(c) | 8.7 | 15.7 | 13.9
| SN(E/C) | 0.97
|
|
|
|
|
|
|
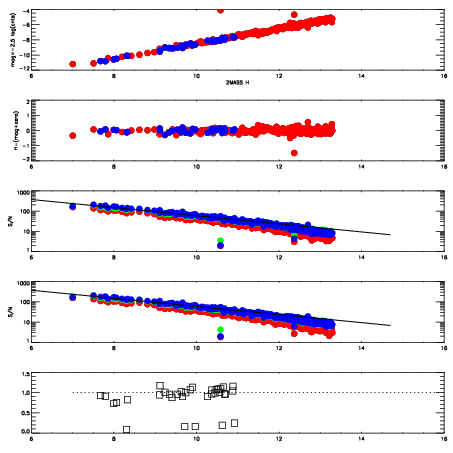
2600050
| 47
| | Red | Green | Blue
| z | | 18.80
| znorm | | 14.62
| sky | 14.6 | 14.6 | 14.4
| S/N | 13.1 | 20.9 | 22.6
| S/N(c) | 9.1 | 16.2 | 14.5
| SN(E/C) | 1.00
|
|
|
|
|
|
|
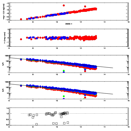
2600051
| 47
| | Red | Green | Blue
| z | | 18.76
| znorm | | 14.58
| sky | 14.6 | 14.6 | 14.6
| S/N | 12.5 | 20.4 | 22.0
| S/N(c) | 8.9 | 15.9 | 14.2
| SN(E/C) | 0.95
|
|
|
|
|
|
|
2600052
| 47
| | Red | Green | Blue
| z | | 18.68
| znorm | | 14.50
| sky | 14.7 | 14.6 | 14.6
| S/N | 11.9 | 19.2 | 21.3
| S/N(c) | 8.7 | 15.7 | 14.1
| SN(E/C) | 0.96
|
|
|
|
|
|
|
2600053
| 47
| | Red | Green | Blue
| z | | 18.48
| znorm | | 14.30
| sky | 14.7 | 14.7 | 14.6
| S/N | 10.0 | 17.9 | 18.7
| S/N(c) | 7.8 | 14.2 | 12.7
| SN(E/C) | 0.99
|
|
|
|
|
|
|
2600054
| 47
| | Red | Green | Blue
| z | | 18.44
| znorm | | 14.26
| sky | 14.9 | 14.8 | 14.7
| S/N | 9.7 | 17.4 | 18.4
| S/N(c) | 7.5 | 13.5 | 12.3
| SN(E/C) | 1.02
|
|
|
|
|
|
|
2600055
| 47
| | Red | Green | Blue
| z | | 18.52
| znorm | | 14.34
| sky | 14.5 | 14.7 | 14.6
| S/N | 10.1 | 17.9 | 19.0
| S/N(c) | 8.0 | 14.6 | 13.1
| SN(E/C) | 0.98
|
|
|
|
|
|
|