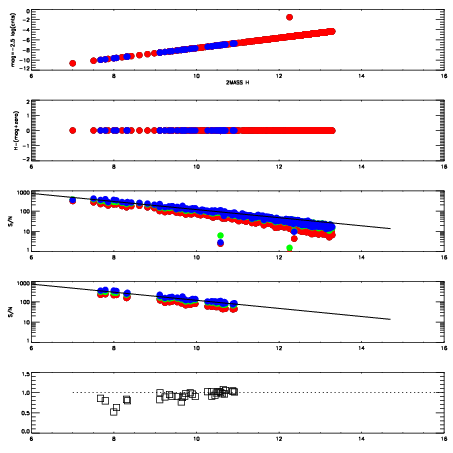
Left plots: red are targets, blue are telluric. Observed mags are calculated from median value of green chip. Zeropoint gives overall throughput: bigger number is more throughput.
First spatial plots: circles are objects, squares are tellurics, crosses are sky fibers. Colors give deviation of observed mag from expected 2MASS mag using the median zeropoint; red is brighter
Second spatial plots: circles are sky fibers. Colors give sky line brightness relative to plate median sky line brightness
FrameNreadsZeropointsMag plots Spatial mag deviation Spatial sky 16325A emission deviations (filled: sky, open: star) Spatial sky continuum emission Spatial sky telluric CO2 absorption deviations (filled: H < 10)
0 0
RedGreenBlue
z17.63
znorm Inf
sky -Inf -NaN -Inf
S/N 19.5 34.5 36.2
S/N(c) 0.0 0.0 0.0
SN(E/C) 0.96

IPAIRNAMESHIFTNEWSHIFTS/N NAMESHIFTNEWSHIFTS/N
0 02600054 0.419960 0.00000 18.4038 02600055 -0.00124195 0.421202 18.4863
1 02600050 0.419069 0.000891000 18.7543 02600051 0.000634053 0.419326 18.7009
2 02600049 0.418088 0.00187200 18.6735 02600052 -0.000272144 0.420232 18.6503
3 02600053 0.418914 0.00104600 18.4491 02600048 0.00000 0.419960 18.5219