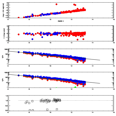
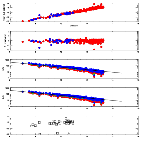
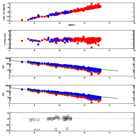
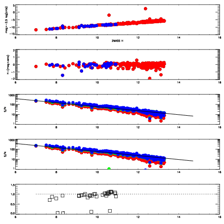
Frame | Nreads | Zeropoints | Mag plots
| Spatial mag deviation
| Spatial sky 16325A emission deviations (filled: sky, open: star)
| Spatial sky continuum emission
| Spatial sky telluric CO2 absorption deviations (filled: H < 10)
|
2830035
| 47
| | Red | Green | Blue
| z | | 18.79
| znorm | | 14.61
| sky | 14.7 | 14.4 | 14.1
| S/N | 11.2 | 18.8 | 18.9
| S/N(c) | 9.3 | 32.1 | 11.5
| SN(E/C) | 1.00
|
|
|
|
|
|
|
2830036
| 47
| | Red | Green | Blue
| z | | 18.84
| znorm | | 14.66
| sky | 14.6 | 14.4 | 14.4
| S/N | 12.1 | 19.8 | 20.0
| S/N(c) | 9.5 | 33.9 | 12.1
| SN(E/C) | 0.99
|
|
|
|
|
|
|
2830037
| 47
| | Red | Green | Blue
| z | | 18.98
| znorm | | 14.80
| sky | 14.7 | 14.4 | 14.5
| S/N | 13.4 | 21.7 | 22.3
| S/N(c) | 9.9 | 36.1 | 12.8
| SN(E/C) | 0.96
|
|
|
|
|
|
|
2830038
| 47
| | Red | Green | Blue
| z | | 18.98
| znorm | | 14.80
| sky | 14.5 | 14.5 | 14.3
| S/N | 13.4 | 22.2 | 22.6
| S/N(c) | 10.1 | 36.3 | 13.0
| SN(E/C) | 0.94
|
|
|
|
|
|
|
2830039
| 47
| | Red | Green | Blue
| z | | 18.98
| znorm | | 14.80
| sky | 14.8 | 14.5 | 14.5
| S/N | 13.8 | 22.2 | 22.8
| S/N(c) | 10.0 | 35.9 | 12.9
| SN(E/C) | 0.95
|
|
|
|
|
|
|
2830040
| 47
| | Red | Green | Blue
| z | | 19.01
| znorm | | 14.83
| sky | 14.8 | 14.6 | 14.5
| S/N | 14.3 | 22.9 | 23.2
| S/N(c) | 10.2 | 36.4 | 13.0
| SN(E/C) | 0.95
|
|
|
|
|
|
|
2830041
| 47
| | Red | Green | Blue
| z | | 19.04
| znorm | | 14.86
| sky | 14.7 | 14.8 | 14.4
| S/N | 14.7 | 23.4 | 24.1
| S/N(c) | 10.2 | 36.7 | 13.1
| SN(E/C) | 0.96
|
|
|
|
|
|
|
2830042
| 47
| | Red | Green | Blue
| z | | 18.98
| znorm | | 14.80
| sky | 14.9 | 14.7 | 14.5
| S/N | 13.9 | 22.9 | 23.2
| S/N(c) | 9.9 | 35.3 | 12.7
| SN(E/C) | 0.96
|
|
|
|
|
|
|