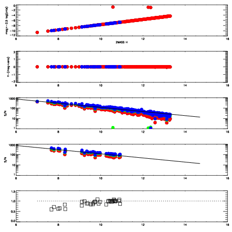
Left plots: red are targets, blue are telluric. Observed mags are calculated from median value of green chip. Zeropoint gives overall throughput: bigger number is more throughput.
First spatial plots: circles are objects, squares are tellurics, crosses are sky fibers. Colors give deviation of observed mag from expected 2MASS mag using the median zeropoint; red is brighter
Second spatial plots: circles are sky fibers. Colors give sky line brightness relative to plate median sky line brightness
FrameNreadsZeropointsMag plots Spatial mag deviation Spatial sky 16325A emission deviations (filled: sky, open: star) Spatial sky continuum emission Spatial sky telluric CO2 absorption deviations (filled: H < 10)
0 0
RedGreenBlue
z17.63
znorm Inf
sky -NaN -NaN -Inf
S/N 21.8 36.8 40.0
S/N(c) 0.0 0.0 0.0
SN(E/C) 0.96

IPAIRNAMESHIFTNEWSHIFTS/N NAMESHIFTNEWSHIFTS/N
0 02830041 0.413496 0.00000 19.0051 02830042 0.00431405 0.409182 18.9286
1 02830040 0.412740 0.000755996 18.9678 02830039 3.08314e-05 0.413465 18.9142
2 02830037 0.413494 1.99676e-06 18.9103 02830038 0.00354371 0.409952 18.9095
3 02830036 0.411739 0.00175700 18.7771 02830035 0.00000 0.413496 18.7147