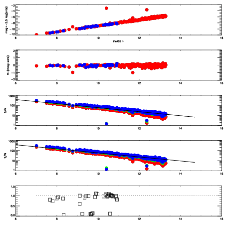
Frame | Nreads | Zeropoints | Mag plots
| Spatial mag deviation
| Spatial sky 16325A emission deviations (filled: sky, open: star)
| Spatial sky continuum emission
| Spatial sky telluric CO2 absorption deviations (filled: H < 10)
|
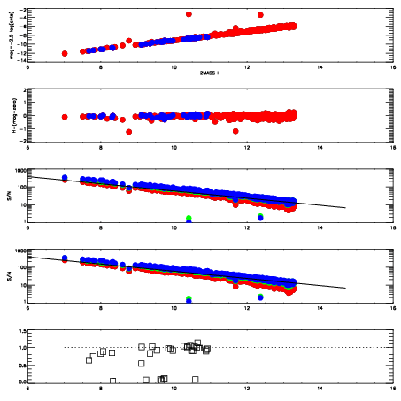
3040023
| 47
| | Red | Green | Blue
| z | | 19.01
| znorm | | 14.83
| sky | 15.0 | 14.6 | 14.9
| S/N | 14.8 | 23.9 | 24.4
| S/N(c) | 10.4 | 31.3 | 46.0
| SN(E/C) | 0.96
|
|
|
|
|
|
|
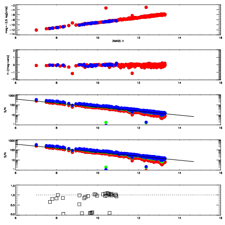
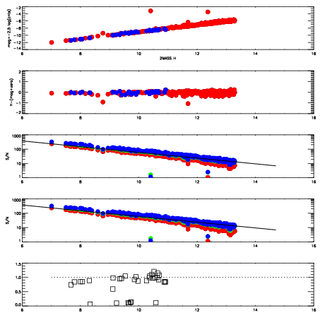
3040024
| 47
| | Red | Green | Blue
| z | | 19.10
| znorm | | 14.92
| sky | 14.8 | 14.6 | 14.9
| S/N | 15.3 | 25.0 | 25.8
| S/N(c) | 10.8 | 32.7 | 47.8
| SN(E/C) | 0.88
|
|
|
|
|
|
|
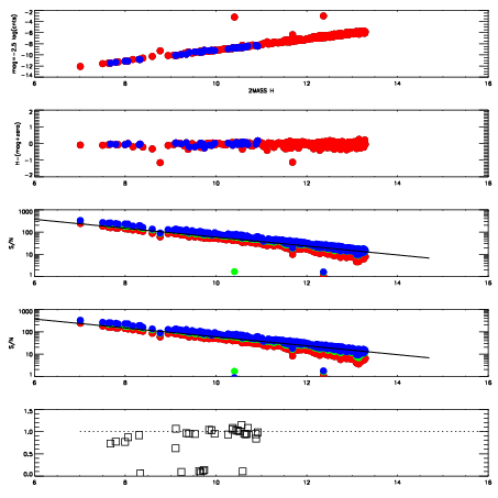
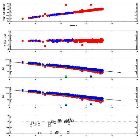
3040025
| 47
| | Red | Green | Blue
| z | | 19.18
| znorm | | 15.00
| sky | 14.7 | 14.6 | 14.9
| S/N | 16.3 | 26.5 | 26.8
| S/N(c) | 11.2 | 33.5 | 49.4
| SN(E/C) | 0.90
|
|
|
|
|
|
|
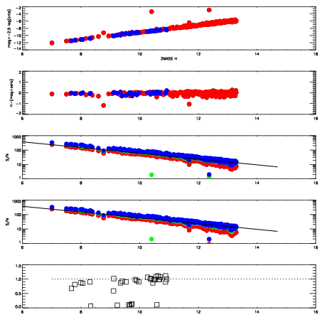
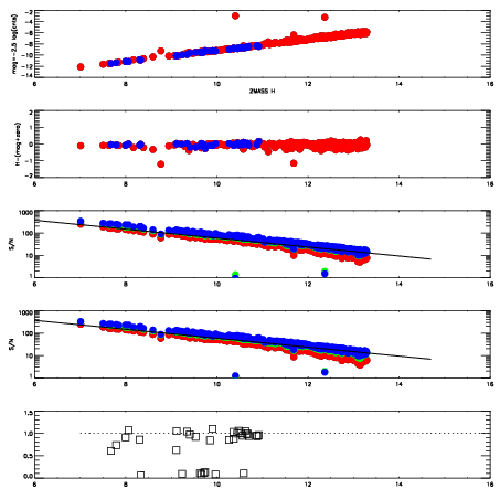
3040026
| 47
| | Red | Green | Blue
| z | | 19.18
| znorm | | 15.00
| sky | 14.9 | 14.7 | 14.8
| S/N | 16.5 | 26.7 | 27.1
| S/N(c) | 11.3 | 33.7 | 49.3
| SN(E/C) | 0.93
|
|
|
|
|
|
|
3040027
| 47
| | Red | Green | Blue
| z | | 19.17
| znorm | | 14.99
| sky | 15.1 | 14.9 | 14.8
| S/N | 16.0 | 26.0 | 27.3
| S/N(c) | 11.2 | 33.6 | 49.1
| SN(E/C) | 0.96
|
|
|
|
|
|
|
3040028
| 47
| | Red | Green | Blue
| z | | 19.18
| znorm | | 15.00
| sky | 14.7 | 14.7 | 15.0
| S/N | 16.3 | 26.6 | 27.1
| S/N(c) | 11.3 | 33.7 | 49.7
| SN(E/C) | 0.94
|
|
|
|
|
|
|
3040029
| 47
| | Red | Green | Blue
| z | | 19.21
| znorm | | 15.03
| sky | 14.8 | 14.8 | 14.7
| S/N | 16.6 | 26.9 | 27.5
| S/N(c) | 11.5 | 34.2 | 50.4
| SN(E/C) | 0.94
|
|
|
|
|
|
|
3040030
| 47
| | Red | Green | Blue
| z | | 19.20
| znorm | | 15.02
| sky | 14.7 | 14.8 | 14.9
| S/N | 16.5 | 26.9 | 27.7
| S/N(c) | 11.4 | 34.1 | 50.1
| SN(E/C) | 0.92
|
|
|
|
|
|
|