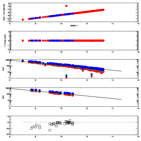
Left plots: red are targets, blue are telluric. Observed mags are calculated from median value of green chip. Zeropoint gives overall throughput: bigger number is more throughput.
First spatial plots: circles are objects, squares are tellurics, crosses are sky fibers. Colors give deviation of observed mag from expected 2MASS mag using the median zeropoint; red is brighter
Second spatial plots: circles are sky fibers. Colors give sky line brightness relative to plate median sky line brightness
FrameNreadsZeropointsMag plots Spatial mag deviation Spatial sky 16325A emission deviations (filled: sky, open: star) Spatial sky continuum emission Spatial sky telluric CO2 absorption deviations (filled: H < 10)
0 0
RedGreenBlue
z17.63
znorm Inf
sky -NaN -NaN -Inf
S/N 28.1 48.1 50.1
S/N(c) 0.0 0.0 0.0
SN(E/C) 0.89

IPAIRNAMESHIFTNEWSHIFTS/N NAMESHIFTNEWSHIFTS/N
0 03040025 0.496284 0.00000 19.1462 03040027 -0.00223747 0.498521 19.1437
1 03040029 0.496188 9.59933e-05 19.1874 03040030 -0.000181328 0.496465 19.1798
2 03040028 0.495920 0.000364006 19.1538 03040026 -0.00157905 0.497863 19.1468
3 03040024 0.495429 0.000854999 19.0756 03040023 0.00000 0.496284 18.9940