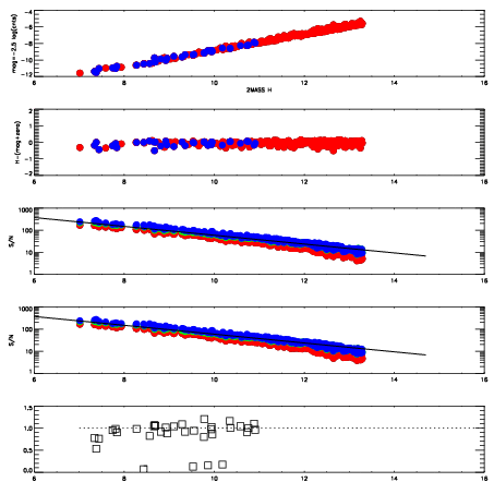
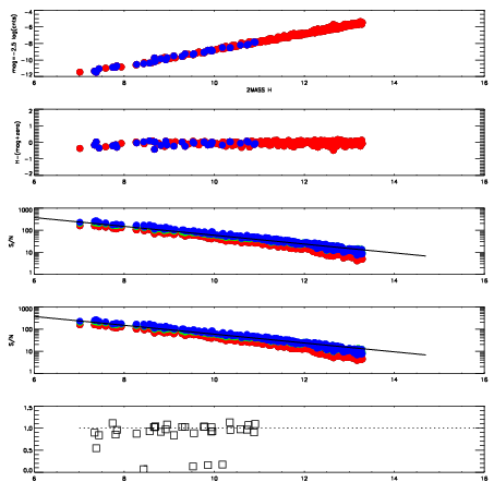
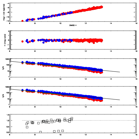
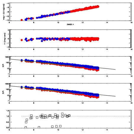
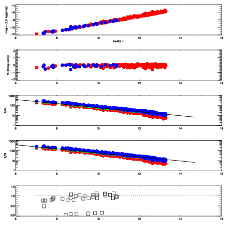
Frame | Nreads | Zeropoints | Mag plots
| Spatial mag deviation
| Spatial sky 16325A emission deviations (filled: sky, open: star)
| Spatial sky continuum emission
| Spatial sky telluric CO2 absorption deviations (filled: H < 10)
|
3060025
| 47
| | Red | Green | Blue
| z | | 18.85
| znorm | | 14.67
| sky | 14.9 | 14.7 | 14.5
| S/N | 14.9 | 24.7 | 25.2
| S/N(c) | 13.9 | 12.5 | 35.0
| SN(E/C) | 0.96
|
|
|
|
|
|
|
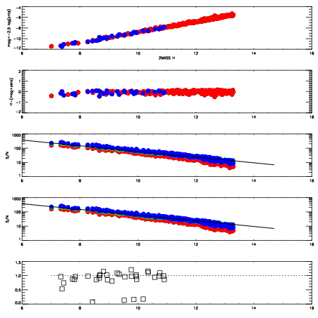
3060026
| 47
| | Red | Green | Blue
| z | | 18.84
| znorm | | 14.66
| sky | 15.1 | 15.1 | 15.0
| S/N | 14.8 | 24.0 | 25.2
| S/N(c) | 13.6 | 12.2 | 34.8
| SN(E/C) | 0.96
|
|
|
|
|
|
|
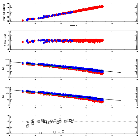
3060027
| 47
| | Red | Green | Blue
| z | | 18.70
| znorm | | 14.52
| sky | 15.3 | 15.0 | 15.1
| S/N | 13.2 | 22.7 | 23.1
| S/N(c) | 12.3 | 11.3 | 31.3
| SN(E/C) | 0.95
|
|
|
|
|
|
|
3060028
| 47
| | Red | Green | Blue
| z | | 18.83
| znorm | | 14.65
| sky | 15.1 | 15.0 | 15.1
| S/N | 14.3 | 24.0 | 25.1
| S/N(c) | 13.3 | 12.0 | 34.4
| SN(E/C) | 0.99
|
|
|
|
|
|
|
3060029
| 47
| | Red | Green | Blue
| z | | 18.91
| znorm | | 14.73
| sky | 15.3 | 15.2 | 15.1
| S/N | 15.3 | 24.9 | 26.4
| S/N(c) | 13.9 | 12.4 | 36.2
| SN(E/C) | 0.95
|
|
|
|
|
|
|
3060030
| 47
| | Red | Green | Blue
| z | | 18.99
| znorm | | 14.81
| sky | 15.1 | 15.0 | 15.2
| S/N | 15.7 | 25.9 | 27.5
| S/N(c) | 14.5 | 13.0 | 38.0
| SN(E/C) | 0.94
|
|
|
|
|
|
|
3060031
| 47
| | Red | Green | Blue
| z | | 19.05
| znorm | | 14.87
| sky | 15.1 | 15.0 | 15.0
| S/N | 16.3 | 26.8 | 28.4
| S/N(c) | 14.9 | 13.3 | 39.5
| SN(E/C) | 0.88
|
|
|
|
|
|
|
3060032
| 47
| | Red | Green | Blue
| z | | 19.10
| znorm | | 14.92
| sky | 14.9 | 15.0 | 15.1
| S/N | 16.9 | 27.3 | 28.8
| S/N(c) | 15.3 | 13.6 | 40.5
| SN(E/C) | 0.91
|
|
|
|
|
|
|