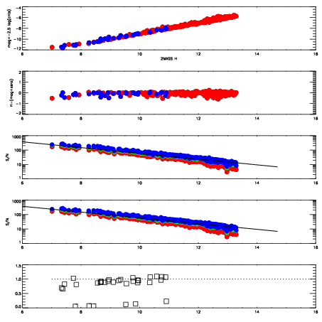
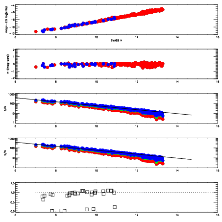
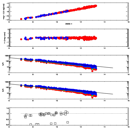
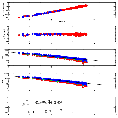
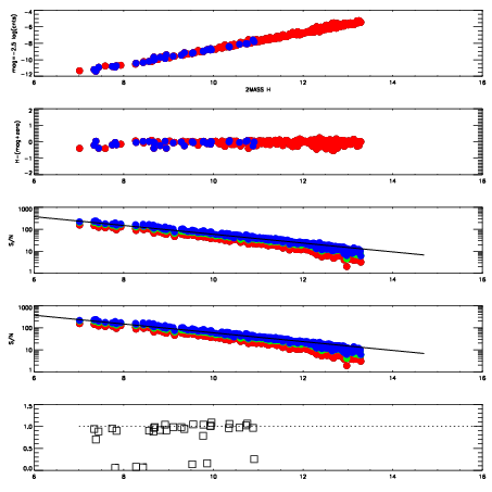
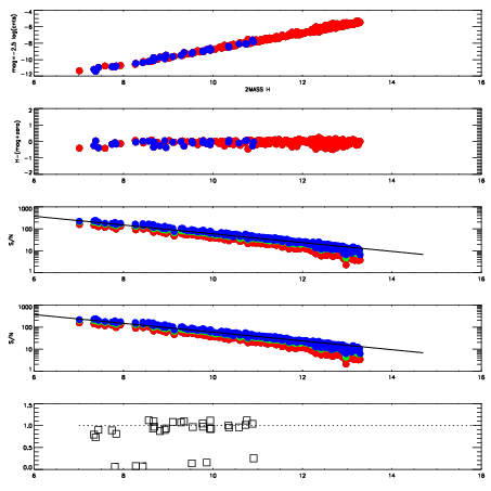
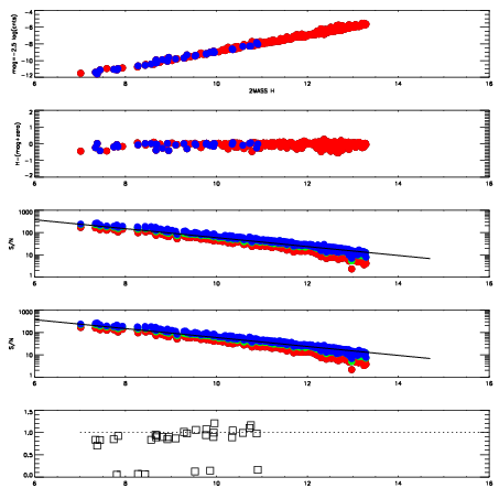
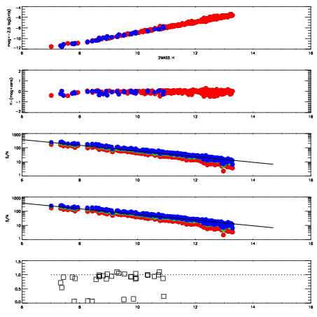
Frame | Nreads | Zeropoints | Mag plots
| Spatial mag deviation
| Spatial sky 16325A emission deviations (filled: sky, open: star)
| Spatial sky continuum emission
| Spatial sky telluric CO2 absorption deviations (filled: H < 10)
|
3140023
| 47
| | Red | Green | Blue
| z | | 18.92
| znorm | | 14.74
| sky | 14.3 | 14.1 | 14.3
| S/N | 14.9 | 23.7 | 25.0
| S/N(c) | 15.5 | 38.6 | 26.7
| SN(E/C) | 0.95
|
|
|
|
|
|
|
3140024
| 47
| | Red | Green | Blue
| z | | 18.78
| znorm | | 14.60
| sky | 14.3 | 13.9 | 14.2
| S/N | 13.4 | 21.6 | 23.0
| S/N(c) | 14.2 | 36.0 | 24.9
| SN(E/C) | 0.92
|
|
|
|
|
|
|
3140025
| 47
| | Red | Green | Blue
| z | | 18.92
| znorm | | 14.74
| sky | 14.4 | 14.1 | 14.3
| S/N | 14.7 | 24.0 | 24.9
| S/N(c) | 15.5 | 38.6 | 26.8
| SN(E/C) | 0.92
|
|
|
|
|
|
|
3140026
| 47
| | Red | Green | Blue
| z | | 18.64
| znorm | | 14.46
| sky | 13.6 | 13.6 | 13.7
| S/N | 11.6 | 19.4 | 20.0
| S/N(c) | 12.6 | 33.1 | 22.5
| SN(E/C) | 0.93
|
|
|
|
|
|
|
3140027
| 47
| | Red | Green | Blue
| z | | 18.77
| znorm | | 14.59
| sky | 14.2 | 14.0 | 14.0
| S/N | 13.5 | 21.9 | 22.5
| S/N(c) | 14.1 | 35.6 | 24.6
| SN(E/C) | 0.93
|
|
|
|
|
|
|
3140028
| 47
| | Red | Green | Blue
| z | | 18.75
| znorm | | 14.56
| sky | 13.9 | 13.8 | 13.9
| S/N | 12.9 | 21.2 | 22.0
| S/N(c) | 13.6 | 34.7 | 24.0
| SN(E/C) | 0.95
|
|
|
|
|
|
|
3140029
| 47
| | Red | Green | Blue
| z | | 18.97
| znorm | | 14.79
| sky | 14.6 | 14.4 | 14.5
| S/N | 15.2 | 25.2 | 25.8
| S/N(c) | 15.8 | 39.4 | 27.3
| SN(E/C) | 0.90
|
|
|
|
|
|
|
3140030
| 47
| | Red | Green | Blue
| z | | 19.03
| znorm | | 14.85
| sky | 14.5 | 14.6 | 14.7
| S/N | 16.1 | 26.1 | 26.7
| S/N(c) | 16.2 | 40.4 | 27.9
| SN(E/C) | 0.89
|
|
|
|
|
|
|