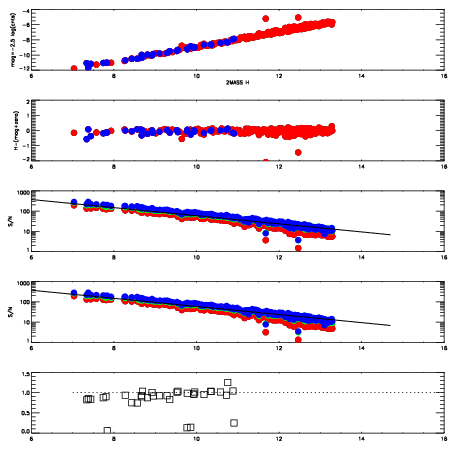
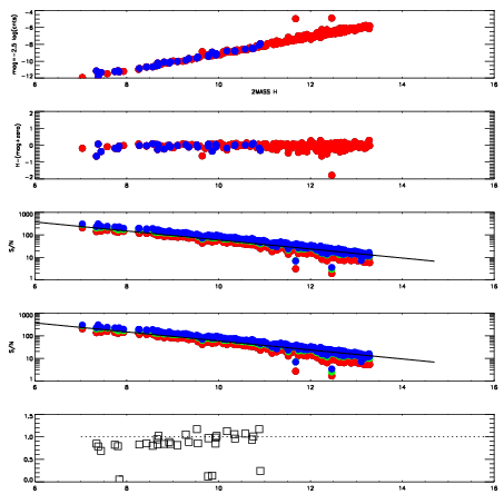
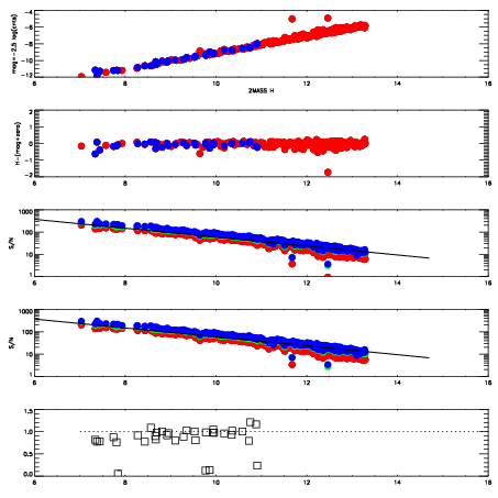
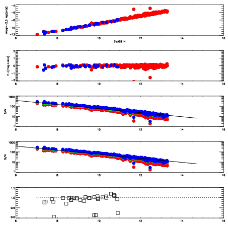
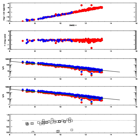
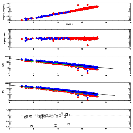
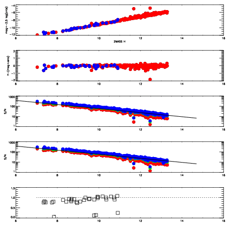
Frame | Nreads | Zeropoints | Mag plots
| Spatial mag deviation
| Spatial sky 16325A emission deviations (filled: sky, open: star)
| Spatial sky continuum emission
| Spatial sky telluric CO2 absorption deviations (filled: H < 10)
|
2870049
| 47
| | Red | Green | Blue
| z | | 19.00
| znorm | | 14.82
| sky | 14.6 | 14.5 | 14.7
| S/N | 14.4 | 23.7 | 25.8
| S/N(c) | 17.5 | 27.1 | 11.3
| SN(E/C) | 0.90
|
|
|
|
|
|
|
2870050
| 47
| | Red | Green | Blue
| z | | 18.98
| znorm | | 14.80
| sky | 14.8 | 14.5 | 14.8
| S/N | 14.2 | 23.6 | 25.7
| S/N(c) | 17.2 | 27.0 | 11.3
| SN(E/C) | 0.92
|
|
|
|
|
|
|
2870051
| 47
| | Red | Green | Blue
| z | | 18.95
| znorm | | 14.77
| sky | 14.5 | 14.5 | 14.9
| S/N | 14.3 | 23.5 | 25.3
| S/N(c) | 17.0 | 26.9 | 11.2
| SN(E/C) | 0.96
|
|
|
|
|
|
|
2870052
| 47
| | Red | Green | Blue
| z | | 18.97
| znorm | | 14.79
| sky | 14.7 | 14.5 | 14.7
| S/N | 13.8 | 23.6 | 25.0
| S/N(c) | 16.8 | 27.2 | 11.4
| SN(E/C) | 0.92
|
|
|
|
|
|
|
2870053
| 47
| | Red | Green | Blue
| z | | 19.11
| znorm | | 14.93
| sky | 14.7 | 14.6 | 14.6
| S/N | 15.1 | 25.1 | 27.1
| S/N(c) | 18.5 | 29.3 | 12.2
| SN(E/C) | 0.91
|
|
|
|
|
|
|
2870054
| 47
| | Red | Green | Blue
| z | | 19.16
| znorm | | 14.98
| sky | 14.4 | 14.6 | 14.8
| S/N | 15.5 | 26.1 | 28.0
| S/N(c) | 18.8 | 28.4 | 12.6
| SN(E/C) | 0.84
|
|
|
|
|
|
|
2870055
| 47
| | Red | Green | Blue
| z | | 19.14
| znorm | | 14.96
| sky | 14.5 | 14.7 | 14.6
| S/N | 15.4 | 25.2 | 27.1
| S/N(c) | 18.7 | 28.3 | 12.4
| SN(E/C) | 0.85
|
|
|
|
|
|
|
2870056
| 47
| | Red | Green | Blue
| z | | 19.14
| znorm | | 14.96
| sky | 14.6 | 14.6 | 14.6
| S/N | 15.3 | 24.7 | 26.4
| S/N(c) | 18.8 | 28.4 | 12.6
| SN(E/C) | 0.90
|
|
|
|
|
|
|