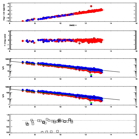
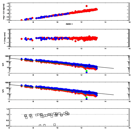
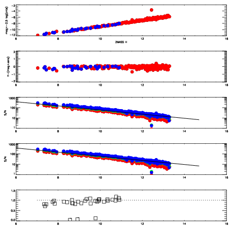
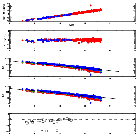
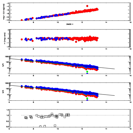
Frame | Nreads | Zeropoints | Mag plots
| Spatial mag deviation
| Spatial sky 16325A emission deviations (filled: sky, open: star)
| Spatial sky continuum emission
| Spatial sky telluric CO2 absorption deviations (filled: H < 10)
|
3050035
| 47
| | Red | Green | Blue
| z | | 19.08
| znorm | | 14.90
| sky | 14.7 | 14.5 | 14.4
| S/N | 15.6 | 25.0 | 26.3
| S/N(c) | 22.5 | 21.3 | 16.0
| SN(E/C) | 0.91
|
|
|
|
|
|
|
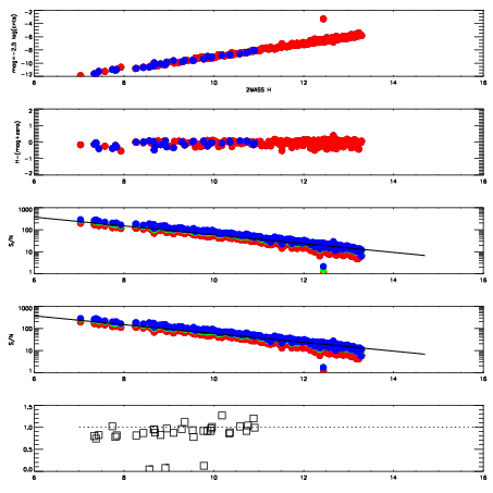
3050036
| 47
| | Red | Green | Blue
| z | | 19.08
| znorm | | 14.89
| sky | 14.8 | 14.7 | 14.8
| S/N | 15.5 | 25.3 | 26.8
| S/N(c) | 22.5 | 21.4 | 16.3
| SN(E/C) | 0.91
|
|
|
|
|
|
|
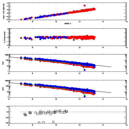
3050037
| 47
| | Red | Green | Blue
| z | | 19.04
| znorm | | 14.86
| sky | 14.9 | 14.8 | 14.9
| S/N | 15.1 | 24.8 | 26.2
| S/N(c) | 22.0 | 21.2 | 16.2
| SN(E/C) | 0.92
|
|
|
|
|
|
|
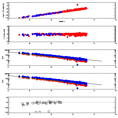
3050038
| 47
| | Red | Green | Blue
| z | | 19.06
| znorm | | 14.88
| sky | 14.9 | 14.7 | 15.0
| S/N | 15.2 | 25.4 | 26.1
| S/N(c) | 22.1 | 21.4 | 16.1
| SN(E/C) | 0.93
|
|
|
|
|
|
|
3050039
| 47
| | Red | Green | Blue
| z | | 19.05
| znorm | | 14.87
| sky | 14.8 | 14.7 | 14.8
| S/N | 15.0 | 25.1 | 25.8
| S/N(c) | 21.7 | 21.3 | 16.1
| SN(E/C) | 0.91
|
|
|
|
|
|
|
3050040
| 47
| | Red | Green | Blue
| z | | 19.04
| znorm | | 14.86
| sky | 15.0 | 14.9 | 15.0
| S/N | 14.6 | 24.9 | 26.1
| S/N(c) | 21.6 | 21.3 | 15.9
| SN(E/C) | 0.94
|
|
|
|
|
|
|
3050041
| 47
| | Red | Green | Blue
| z | | 19.05
| znorm | | 14.87
| sky | 14.7 | 14.9 | 14.8
| S/N | 14.8 | 25.3 | 26.3
| S/N(c) | 21.9 | 21.2 | 16.2
| SN(E/C) | 0.93
|
|
|
|
|
|
|
3050042
| 47
| | Red | Green | Blue
| z | | 19.04
| znorm | | 14.86
| sky | 14.7 | 14.8 | 14.9
| S/N | 14.2 | 24.7 | 25.8
| S/N(c) | 22.0 | 21.0 | 15.8
| SN(E/C) | 0.89
|
|
|
|
|
|
|