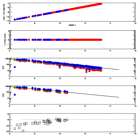
Left plots: red are targets, blue are telluric. Observed mags are calculated from median value of green chip. Zeropoint gives overall throughput: bigger number is more throughput.
First spatial plots: circles are objects, squares are tellurics, crosses are sky fibers. Colors give deviation of observed mag from expected 2MASS mag using the median zeropoint; red is brighter
Second spatial plots: circles are sky fibers. Colors give sky line brightness relative to plate median sky line brightness
FrameNreadsZeropointsMag plots Spatial mag deviation Spatial sky 16325A emission deviations (filled: sky, open: star) Spatial sky continuum emission Spatial sky telluric CO2 absorption deviations (filled: H < 10)
0 0
RedGreenBlue
z17.64
znorm Inf
sky -Inf -NaN -Inf
S/N 27.7 46.2 47.9
S/N(c) 0.0 0.0 0.0
SN(E/C) 0.82

IPAIRNAMESHIFTNEWSHIFTS/N NAMESHIFTNEWSHIFTS/N
0 02900016 0.403051 0.00000 18.9861 02900017 0.000886013 0.402165 18.5870
1 02900015 0.402553 0.000497997 19.0787 02900010 0.00000 0.403051 19.0823
2 02900012 0.401814 0.00123698 19.0721 02900013 0.000746527 0.402304 19.0722
3 02900011 0.401379 0.00167200 19.0550 02900014 0.000106494 0.402945 19.0557