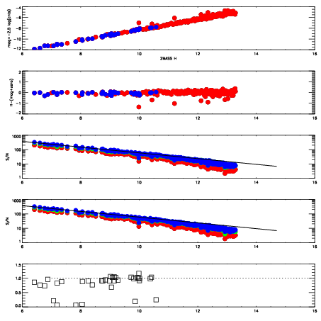
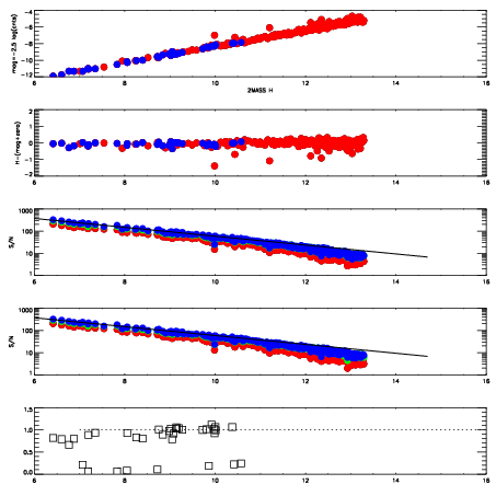
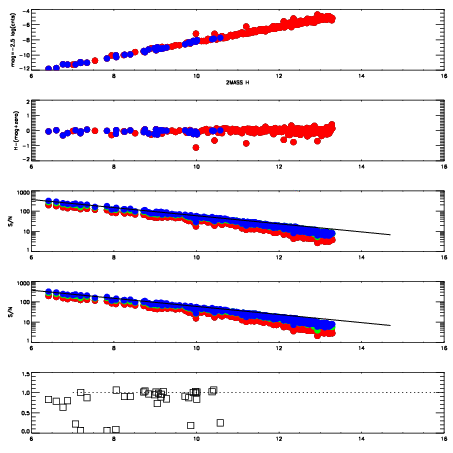
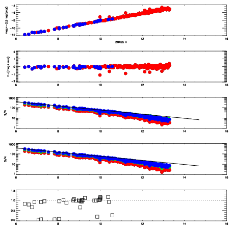
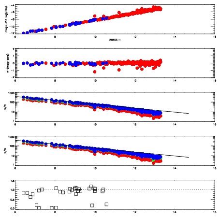
Frame | Nreads | Zeropoints | Mag plots
| Spatial mag deviation
| Spatial sky 16325A emission deviations (filled: sky, open: star)
| Spatial sky continuum emission
| Spatial sky telluric CO2 absorption deviations (filled: H < 10)
|
6650037
| 47
| | Red | Green | Blue
| z | | 18.37
| znorm | | 14.19
| sky | 14.9 | 14.6 | 14.6
| S/N | 10.5 | 17.6 | 17.7
| S/N(c) | 20.8 | 13.1 | 22.6
| SN(E/C) | 0.91
|
|
|
|
|
|
|
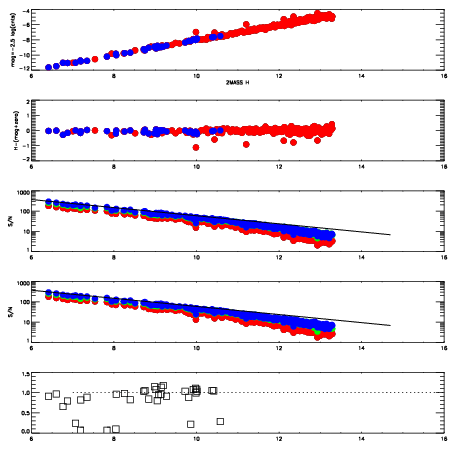
6650038
| 47
| | Red | Green | Blue
| z | | 18.33
| znorm | | 14.15
| sky | 15.1 | 14.7 | 14.8
| S/N | 10.1 | 16.6 | 17.7
| S/N(c) | 20.1 | 12.6 | 22.2
| SN(E/C) | 0.91
|
|
|
|
|
|
|
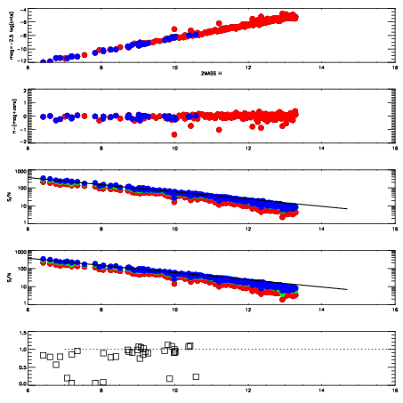
6650039
| 47
| | Red | Green | Blue
| z | | 18.43
| znorm | | 14.25
| sky | 15.2 | 14.8 | 14.8
| S/N | 11.0 | 17.9 | 18.8
| S/N(c) | 21.5 | 13.2 | 23.3
| SN(E/C) | 0.90
|
|
|
|
|
|
|
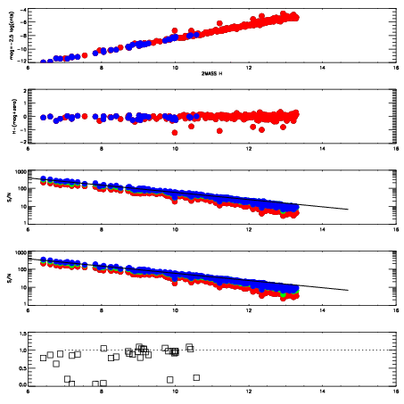
6650040
| 47
| | Red | Green | Blue
| z | | 18.29
| znorm | | 14.11
| sky | 14.8 | 14.7 | 14.7
| S/N | 9.6 | 16.2 | 17.4
| S/N(c) | 19.8 | 12.4 | 21.7
| SN(E/C) | 0.94
|
|
|
|
|
|
|
6650041
| 47
| | Red | Green | Blue
| z | | 18.30
| znorm | | 14.12
| sky | 14.9 | 14.8 | 14.9
| S/N | 9.9 | 16.8 | 17.4
| S/N(c) | 19.8 | 12.4 | 21.8
| SN(E/C) | 0.90
|
|
|
|
|
|
|
6650042
| 47
| | Red | Green | Blue
| z | | 18.08
| znorm | | 13.90
| sky | 14.9 | 14.9 | 14.9
| S/N | 8.3 | 14.8 | 15.2
| S/N(c) | 16.9 | 11.0 | 19.3
| SN(E/C) | 0.95
|
|
|
|
|
|
|
6650043
| 47
| | Red | Green | Blue
| z | | 18.20
| znorm | | 14.02
| sky | 14.8 | 14.8 | 14.6
| S/N | 9.1 | 15.7 | 15.9
| S/N(c) | 18.4 | 11.6 | 20.4
| SN(E/C) | 0.95
|
|
|
|
|
|
|
6650044
| 47
| | Red | Green | Blue
| z | | 18.47
| znorm | | 14.29
| sky | 14.9 | 14.8 | 14.9
| S/N | 11.2 | 18.6 | 19.3
| S/N(c) | 22.0 | 13.1 | 23.5
| SN(E/C) | 0.90
|
|
|
|
|
|
|