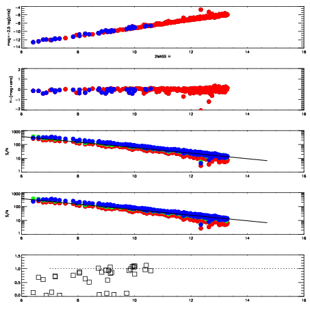
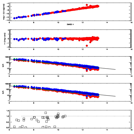
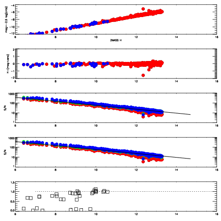
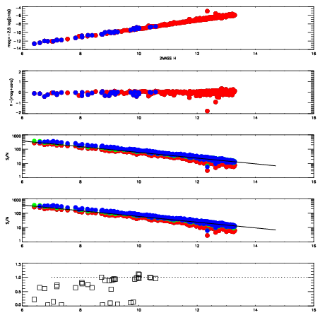
Frame | Nreads | Zeropoints | Mag plots
| Spatial mag deviation
| Spatial sky 16325A emission deviations (filled: sky, open: star)
| Spatial sky continuum emission
| Spatial sky telluric CO2 absorption deviations (filled: H < 10)
|
2830047
| 47
| | Red | Green | Blue
| z | | 19.12
| znorm | | 14.94
| sky | 14.8 | 14.5 | 14.2
| S/N | 16.6 | 27.0 | 27.4
| S/N(c) | 32.7 | 19.7 | 21.5
| SN(E/C) | 0.83
|
|
|
|
|
|
|
2830048
| 47
| | Red | Green | Blue
| z | | 19.08
| znorm | | 14.90
| sky | 14.7 | 14.7 | 14.7
| S/N | 15.2 | 25.7 | 26.4
| S/N(c) | 32.1 | 18.9 | 21.3
| SN(E/C) | 0.78
|
|
|
|
|
|
|
2830049
| 47
| | Red | Green | Blue
| z | | 19.15
| znorm | | 14.97
| sky | 15.0 | 14.7 | 14.6
| S/N | 16.1 | 27.2 | 27.4
| S/N(c) | 33.0 | 19.8 | 21.4
| SN(E/C) | 0.78
|
|
|
|
|
|
|
2830050
| 47
| | Red | Green | Blue
| z | | 19.13
| znorm | | 14.95
| sky | 14.8 | 14.7 | 14.7
| S/N | 16.2 | 26.7 | 27.0
| S/N(c) | 32.8 | 19.5 | 21.6
| SN(E/C) | 0.82
|
|
|
|
|
|
|
2830051
| 47
| | Red | Green | Blue
| z | | 19.14
| znorm | | 14.96
| sky | 14.8 | 14.7 | 14.6
| S/N | 16.4 | 26.9 | 27.2
| S/N(c) | 33.0 | 19.6 | 21.6
| SN(E/C) | 0.81
|
|
|
|
|
|
|
2830052
| 47
| | Red | Green | Blue
| z | | 19.07
| znorm | | 14.89
| sky | 14.8 | 14.7 | 14.7
| S/N | 15.1 | 25.8 | 26.4
| S/N(c) | 31.7 | 18.8 | 21.2
| SN(E/C) | 0.82
|
|
|
|
|
|
|
2830053
| 47
| | Red | Green | Blue
| z | | 19.09
| znorm | | 14.91
| sky | 14.8 | 14.7 | 14.6
| S/N | 15.6 | 26.1 | 26.6
| S/N(c) | 31.7 | 19.1 | 21.3
| SN(E/C) | 0.81
|
|
|
|
|
|
|
2830054
| 47
| | Red | Green | Blue
| z | | 19.15
| znorm | | 14.97
| sky | 14.8 | 14.8 | 14.6
| S/N | 16.1 | 27.2 | 27.7
| S/N(c) | 32.7 | 19.5 | 21.9
| SN(E/C) | 0.83
|
|
|
|
|
|
|