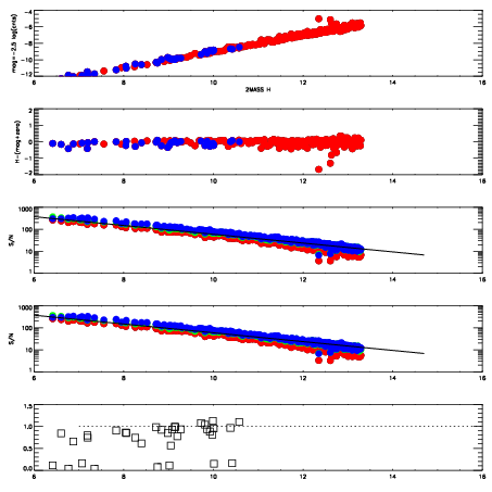
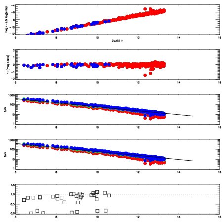
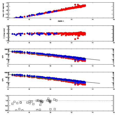
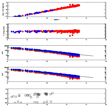
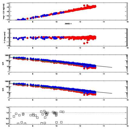
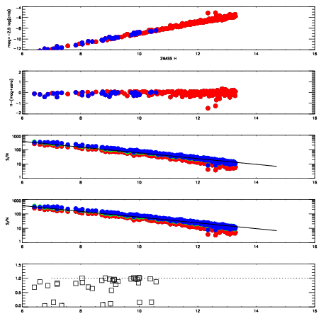
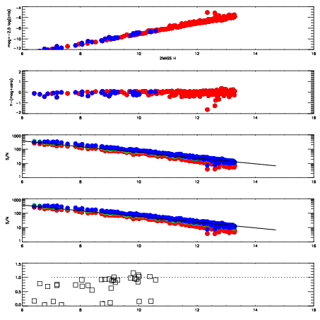
Frame | Nreads | Zeropoints | Mag plots
| Spatial mag deviation
| Spatial sky 16325A emission deviations (filled: sky, open: star)
| Spatial sky continuum emission
| Spatial sky telluric CO2 absorption deviations (filled: H < 10)
|
2870038
| 47
| | Red | Green | Blue
| z | | 18.95
| znorm | | 14.77
| sky | 14.6 | 14.2 | 14.3
| S/N | 14.5 | 23.4 | 24.0
| S/N(c) | 30.3 | 18.2 | 43.3
| SN(E/C) | 0.82
|
|
|
|
|
|
|
2870039
| 47
| | Red | Green | Blue
| z | | 18.99
| znorm | | 14.80
| sky | 14.4 | 14.3 | 14.4
| S/N | 14.7 | 24.0 | 24.6
| S/N(c) | 30.2 | 18.4 | 42.7
| SN(E/C) | 0.84
|
|
|
|
|
|
|
2870040
| 47
| | Red | Green | Blue
| z | | 18.98
| znorm | | 14.80
| sky | 14.4 | 14.4 | 14.3
| S/N | 14.8 | 24.4 | 24.3
| S/N(c) | 30.5 | 18.4 | 42.3
| SN(E/C) | 0.82
|
|
|
|
|
|
|
2870041
| 47
| | Red | Green | Blue
| z | | 18.98
| znorm | | 14.80
| sky | 14.6 | 14.4 | 14.5
| S/N | 14.7 | 24.3 | 24.8
| S/N(c) | 30.3 | 18.4 | 42.8
| SN(E/C) | 0.85
|
|
|
|
|
|
|
2870042
| 47
| | Red | Green | Blue
| z | | 18.98
| znorm | | 14.80
| sky | 14.6 | 14.5 | 14.6
| S/N | 14.7 | 24.1 | 24.8
| S/N(c) | 30.7 | 18.5 | 42.4
| SN(E/C) | 0.85
|
|
|
|
|
|
|
2870043
| 47
| | Red | Green | Blue
| z | | 18.92
| znorm | | 14.74
| sky | 14.5 | 14.5 | 14.5
| S/N | 13.9 | 23.4 | 24.0
| S/N(c) | 29.9 | 18.0 | 41.9
| SN(E/C) | 0.85
|
|
|
|
|
|
|
2870044
| 47
| | Red | Green | Blue
| z | | 19.06
| znorm | | 14.88
| sky | 14.5 | 14.5 | 14.6
| S/N | 15.4 | 25.3 | 26.1
| S/N(c) | 31.9 | 19.1 | 44.7
| SN(E/C) | 0.82
|
|
|
|
|
|
|
2870045
| 47
| | Red | Green | Blue
| z | | 19.05
| znorm | | 14.87
| sky | 14.6 | 14.5 | 14.6
| S/N | 15.2 | 24.6 | 26.1
| S/N(c) | 32.3 | 19.3 | 44.7
| SN(E/C) | 0.85
|
|
|
|
|
|
|