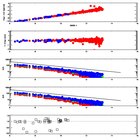
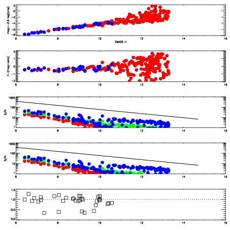
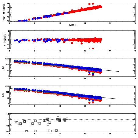
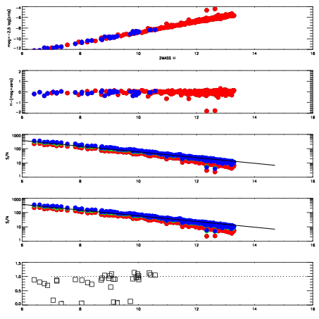
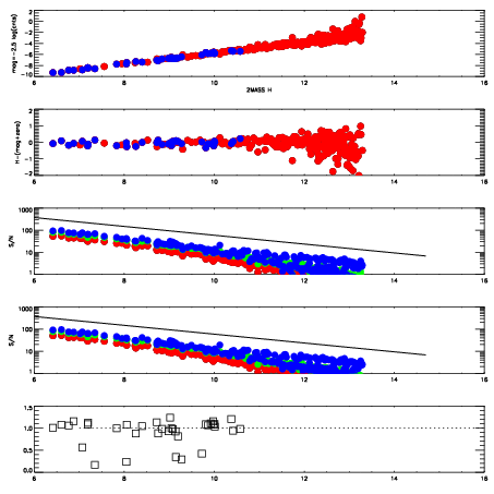
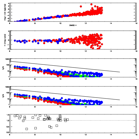
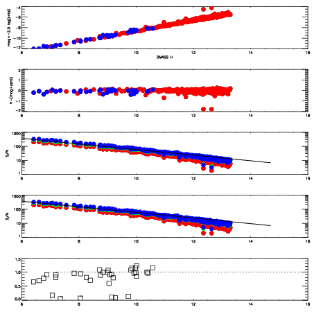
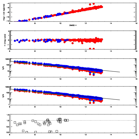
Frame | Nreads | Zeropoints | Mag plots
| Spatial mag deviation
| Spatial sky 16325A emission deviations (filled: sky, open: star)
| Spatial sky continuum emission
| Spatial sky telluric CO2 absorption deviations (filled: H < 10)
|
3100043
| 47
| | Red | Green | Blue
| z | | 18.89
| znorm | | 14.71
| sky | 14.9 | 14.3 | 14.4
| S/N | 13.6 | 21.6 | 21.9
| S/N(c) | 24.9 | 34.5 | 44.1
| SN(E/C) | 0.86
|
|
|
|
|
|
|
3100044
| 47
| | Red | Green | Blue
| z | | 18.92
| znorm | | 14.74
| sky | 14.7 | 14.4 | 14.5
| S/N | 13.5 | 22.1 | 22.5
| S/N(c) | 25.5 | 34.8 | 45.0
| SN(E/C) | 0.90
|
|
|
|
|
|
|
3100045
| 47
| | Red | Green | Blue
| z | | 18.82
| znorm | | 14.64
| sky | 14.8 | 14.4 | 14.5
| S/N | 12.7 | 20.7 | 21.4
| S/N(c) | 23.7 | 33.5 | 43.5
| SN(E/C) | 0.89
|
|
|
|
|
|
|
3100046
| 47
| | Red | Green | Blue
| z | | 18.65
| znorm | | 14.47
| sky | 14.4 | 14.2 | 14.3
| S/N | 11.5 | 18.9 | 19.0
| S/N(c) | 21.5 | 30.8 | 40.7
| SN(E/C) | 0.90
|
|
|
|
|
|
|
3100047
| 47
| | Red | Green | Blue
| z | | 16.56
| znorm | | 12.38
| sky | 13.4 | 13.3 | 13.3
| S/N | 1.7 | 3.6 | 4.3
| S/N(c) | 4.2 | 8.0 | 12.0
| SN(E/C) | 0.99
|
|
|
|
|
|
|
3100048
| 47
| | Red | Green | Blue
| z | | 15.78
| znorm | | 11.60
| sky | 13.3 | 13.2 | 13.1
| S/N | 0.8 | 2.0 | 2.3
| S/N(c) | 2.5 | 4.6 | 7.6
| SN(E/C) | 1.01
|
|
|
|
|
|
|
3100049
| 47
| | Red | Green | Blue
| z | | 14.43
| znorm | | 10.25
| sky | 12.9 | 12.9 | 12.8
| S/N | 0.1 | 0.6 | 0.5
| S/N(c) | 0.5 | 1.3 | 2.9
| SN(E/C) | 0.96
|
|
|
|
|
|
|
3100050
| 47
| | Red | Green | Blue
| z | | 14.82
| znorm | | 10.64
| sky | 13.5 | 13.5 | 13.5
| S/N | 0.2 | 0.9 | 0.9
| S/N(c) | 1.0 | 2.1 | 4.5
| SN(E/C) | 1.13
|
|
|
|
|
|
|