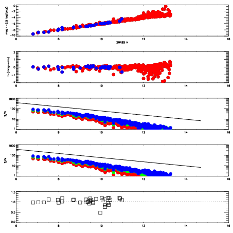
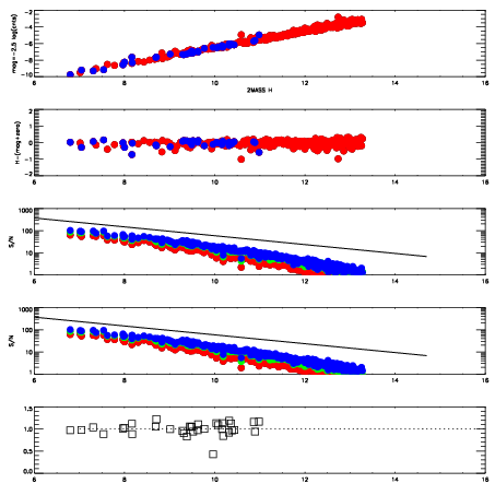
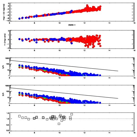
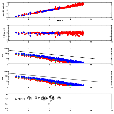
Left plots: red are targets, blue are telluric. Observed mags are calculated from median value of green chip. Zeropoint gives overall throughput: bigger number is more throughput.
First spatial plots: circles are objects, squares are tellurics, crosses are sky fibers. Colors give deviation of observed mag from expected 2MASS mag using the median zeropoint; red is brighter
Second spatial plots: circles are sky fibers. Colors give sky line brightness relative to plate median sky line brightness
FrameNreadsZeropointsMag plots Spatial mag deviation Spatial sky 16325A emission deviations (filled: sky, open: star) Spatial sky continuum emission Spatial sky telluric CO2 absorption deviations (filled: H < 10)
3150016 47
RedGreenBlue
z16.16
znorm11.98
sky 12.9 13.0 13.2
S/N 1.1 2.4 2.6
S/N(c) 2.9 1.4 7.7
SN(E/C) 1.05
3150017 47
RedGreenBlue
z16.53
znorm12.35
sky 13.0 13.0 13.1
S/N 1.8 3.4 3.8
S/N(c) 4.2 1.9 10.5
SN(E/C) 1.00
3150018 47
RedGreenBlue
z15.02
znorm10.84
sky 12.7 12.7 13.0
S/N 0.3 0.5 0.5
S/N(c) 1.1 0.5 3.1
SN(E/C) 1.09
3150019 47
RedGreenBlue
z16.09
znorm11.91
sky 12.8 12.7 12.9
S/N 0.9 1.6 1.7
S/N(c) 2.9 1.3 6.9
SN(E/C) 1.08