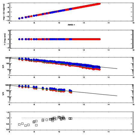
Left plots: red are targets, blue are telluric. Observed mags are calculated from median value of green chip. Zeropoint gives overall throughput: bigger number is more throughput.
First spatial plots: circles are objects, squares are tellurics, crosses are sky fibers. Colors give deviation of observed mag from expected 2MASS mag using the median zeropoint; red is brighter
Second spatial plots: circles are sky fibers. Colors give sky line brightness relative to plate median sky line brightness
FrameNreadsZeropointsMag plots Spatial mag deviation Spatial sky 16325A emission deviations (filled: sky, open: star) Spatial sky continuum emission Spatial sky telluric CO2 absorption deviations (filled: H < 10)
0 0
RedGreenBlue
z17.64
znorm Inf
sky -NaN -Inf -Inf
S/N 27.7 49.0 54.2
S/N(c) 0.0 0.0 0.0
SN(E/C) 0.89

IPAIRNAMESHIFTNEWSHIFTS/N NAMESHIFTNEWSHIFTS/N
0 03340027 0.506813 0.00000 19.0404 03340029 -9.24121e-05 0.506905 18.9892
1 03340031 0.506527 0.000285983 19.0988 03340025 0.00000 0.506813 19.1451
2 03340026 0.505633 0.00117999 19.0904 03340032 -0.000390043 0.507203 19.0797
3 03340030 0.505706 0.00110698 19.0889 03340028 0.000255342 0.506558 19.0745