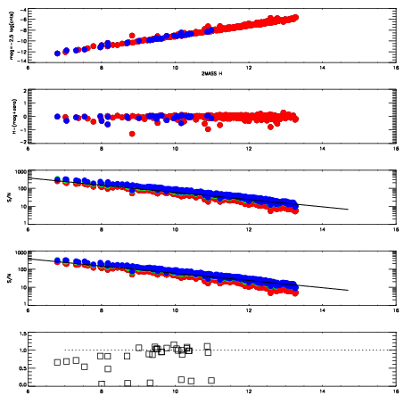
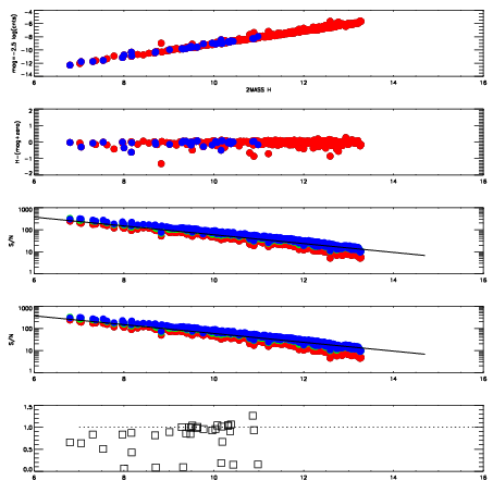
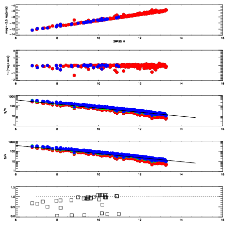
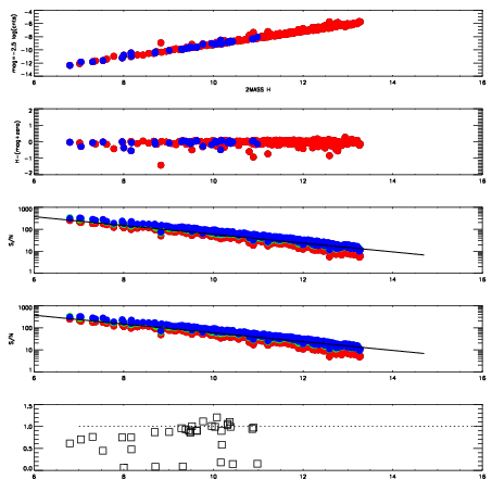
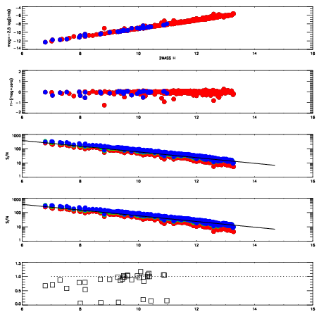
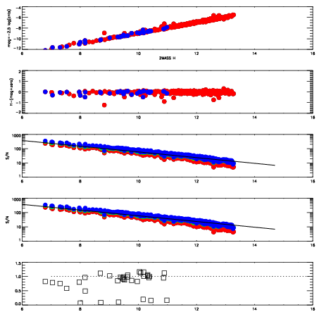
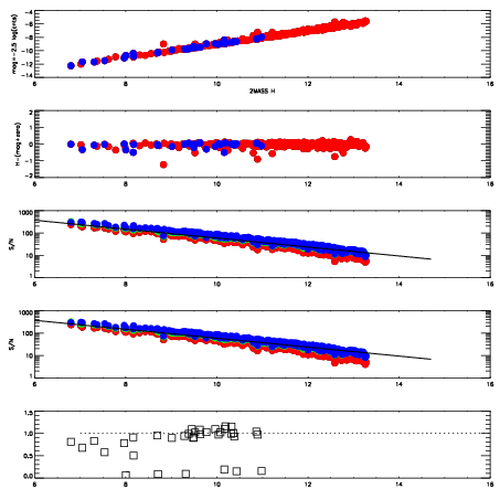
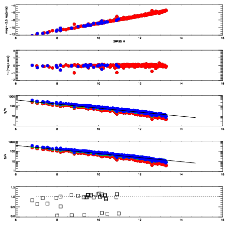
Frame | Nreads | Zeropoints | Mag plots
| Spatial mag deviation
| Spatial sky 16325A emission deviations (filled: sky, open: star)
| Spatial sky continuum emission
| Spatial sky telluric CO2 absorption deviations (filled: H < 10)
|
6060047
| 47
| | Red | Green | Blue
| z | | 18.91
| znorm | | 14.73
| sky | 14.7 | 14.5 | 14.6
| S/N | 14.6 | 23.8 | 25.7
| S/N(c) | 20.1 | 16.9 | 16.5
| SN(E/C) | 0.97
|
|
|
|
|
|
|
6060048
| 47
| | Red | Green | Blue
| z | | 18.98
| znorm | | 14.80
| sky | 14.7 | 14.5 | 14.9
| S/N | 14.8 | 24.6 | 26.8
| S/N(c) | 20.6 | 17.5 | 17.0
| SN(E/C) | 0.94
|
|
|
|
|
|
|
6060049
| 47
| | Red | Green | Blue
| z | | 19.06
| znorm | | 14.88
| sky | 14.8 | 14.6 | 14.7
| S/N | 15.3 | 25.8 | 27.9
| S/N(c) | 21.7 | 18.1 | 17.6
| SN(E/C) | 0.94
|
|
|
|
|
|
|
6060050
| 47
| | Red | Green | Blue
| z | | 19.13
| znorm | | 14.95
| sky | 14.6 | 14.6 | 14.8
| S/N | 16.0 | 26.7 | 29.0
| S/N(c) | 22.6 | 18.8 | 18.2
| SN(E/C) | 0.93
|
|
|
|
|
|
|
6060051
| 47
| | Red | Green | Blue
| z | | 19.13
| znorm | | 14.95
| sky | 14.9 | 14.8 | 14.8
| S/N | 16.0 | 26.9 | 29.1
| S/N(c) | 22.6 | 18.7 | 18.2
| SN(E/C) | 0.90
|
|
|
|
|
|
|
6060052
| 47
| | Red | Green | Blue
| z | | 19.12
| znorm | | 14.94
| sky | 14.9 | 14.9 | 14.8
| S/N | 16.1 | 26.8 | 29.1
| S/N(c) | 22.3 | 18.7 | 18.2
| SN(E/C) | 0.89
|
|
|
|
|
|
|
6060053
| 47
| | Red | Green | Blue
| z | | 19.18
| znorm | | 15.00
| sky | 14.9 | 14.7 | 14.7
| S/N | 17.1 | 27.9 | 30.0
| S/N(c) | 23.2 | 19.4 | 18.8
| SN(E/C) | 0.87
|
|
|
|
|
|
|
6060054
| 47
| | Red | Green | Blue
| z | | 19.17
| znorm | | 14.99
| sky | 14.7 | 14.6 | 14.7
| S/N | 16.9 | 27.8 | 29.7
| S/N(c) | 23.0 | 19.4 | 18.7
| SN(E/C) | 0.91
|
|
|
|
|
|
|